Astudiaeth Arsylwadol Ar Gyfrinachiad Tiwbaidd O Weithrediad Creatinin A'r Arennau
Mar 17, 2022
Cyswllt: Audrey Hu Whatsapp/hp: 0086 13880143964 E-bost:audrey.hu@wecistanche.com
Xuehan Zhang1* et al
Haniaethol
CefndirMae papurau blaenorol wedi bod yn anghyson o ran faint mae clirio creatinin (CrCl) yn goramcangyfrif cyfradd hidlo glomerwlaidd (GFR). Awgrymodd astudiaeth drawsdoriadol ddiweddar y gallai gwall mesur yn unig gyfrif yn gyfan gwbl am yr arsylwi hirsefydlog bod y gymhareb CrCl/GFR yn fwy pan fo GFR yn is ymhlith cleifion âclefyd cronig yn yr arennau(CKD), ond ni ddilyswyd hyn mewn carfannau eraill.
DulliauEr mwyn llenwi'r bylchau hyn mewn gwybodaeth am y berthynas rhwng CrCl a GFR, cynhaliom ddadansoddiad trawsdoriadol a hydredol o'r Astudiaeth Addasu Deiet mewn Clefyd Arennol (MDRD) ac Astudiaeth Affricanaidd Americanaidd o Glefyd yr Arennau a Gorbwysedd (AASK); a dadansoddiad trawsdoriadol o set ddata glinigol o Glinig Mayo o bedwar poblogaeth wahanol o gleifion (CKD(chclefyd yr arennau cronig)cleifion, derbynwyr trawsblaniadau aren, is-grŵp ar ôl rhoi aren a darpar roddwyr arennau). Yn y dadansoddiadau trawsdoriadol (MDRD, AASK, a charfan Mayo Clinic), archwiliwyd y berthynas rhwng y gymhareb CrCl / iothalamate GFR (iGFR) ar wahanol gategorïau o iGFR neu lefelau gwahanol o CrCl. Yn y dadansoddiadau hydredol MDRD ac AASK, astudiwyd sut y newidiodd y gymhareb CrCl/iGFR gyda'r rhai a gafodd welliant yn iGFR (CrCl) dros amser yn erbyn y rhai yr oedd iGFR (CrCl) wedi gwaethygu dros amser.
CanlyniadauRoedd cymarebau CrCl/iGFR a arsylwyd yn gyffredinol ar ben isaf yr ystod a adroddwyd yn y llenyddiaeth ar gyfer CKD (chclefyd yr arennau cronig)(canolrif 1.24 yn MDRD, 1.13 yn AASK, a 1.25 yng ngharfan Clinig Mayo). Ymhlith CKD (chclefyd yr arennau cronig)cleifion y mesurwyd CrCl ac iGFR ynddynt gan ddefnyddio gwahanol gasgliadau wrin wedi'u hamseru, roedd cymarebau CrCl/iGFR yn uwch gyda chategorïau iGFR is ond yn is gyda chategorïau CrCl is. Fodd bynnag, ymhlith CKD(chclefyd yr arennau cronig)cleifion y mesurwyd CrCl ac iGFR ynddynt gan ddefnyddio'r un casgliadau wrin wedi'u hamseru (sy'n lleihau gwall mesur anghytgordiol), roedd y gymhareb CrCl/iGFR yn uwch gyda chategorïau iGFR is a chategorïau CrCl is.
CasgliadauMae'r data hyn yn gwrthbrofi'r awgrym diweddar y gallai gwall mesur yn unig gyfrif yn gyfan gwbl am y sylw hirsefydlog bod y gymhareb CrCl/GFR yn cynyddu wrth i GFR ostwng mewn CKD (chclefyd yr arennau cronig)cleifion. Maent hefyd yn tynnu sylw at y diffyg sicrwydd yn ein gwybodaeth o ran faint y mae CrCl yn goramcangyfrif GFR mewn gwirionedd.
Geiriau allweddol Cronig arenclefyd(CKD), Cyfradd hidlo glomerwlaidd (GFR), Gwall mesur, secretiad tiwbaidd o creatinin, clirio Creatinin (CrCl)
Cefndir
Mae clirio creatinin (CrCl) wedi'i ddefnyddio ers degawdau fel mesur dirprwy ar gyfer cyfradd hidlo glomerwlaidd (GFR), ac mae hafaliadau cyfoes a ddefnyddir i amcangyfrif GFR yn seiliedig ar grynodiad creatinin serwm [1, 2]. Ar wahân i gynhyrchu creatinin a GFR, ffactor arall a all ddylanwadu ar grynodiad creatinin serwm yw secretion tiwbaidd (hy clirio di-hidlo) creatinin. Ond mae bylchau syndod mewn gwybodaeth am y berthynas rhwng CrCl a GFR.
Yn gyntaf, mae papurau blaenorol wedi bod yn anghyson o ran i ba raddau y mae CrCl yn goramcangyfrif GFR, gydag amcangyfrifon yn amrywio o tua 10 y cant [3-7] i dros 60 y cant [8, 9].
Yn ail, fe wnaethom gwestiynu'n ddiweddar a yw'r gymhareb uwch a welwyd o CrCl i GFR wedi'i fesur ymhlith y rhai â GFR is mewn gwirionedd oherwydd secretiad creatinin tiwbaidd sy'n uwch yn gymesur âcronig arenclefyddilyniant (CKD), fel y credir yn gyffredin, neu a ellir cyfrif am hyn yn gyfan gwbl gan gamgymeriad mesur (ar hap) [3, 10]. Ond roedd ein hastudiaeth flaenorol yn gyfyngedig gan ei bod yn seiliedig ar ddadansoddiad trawsdoriadol yn unig o gofrestreion o un CKD. (chclefyd yr arennau cronig)astudiaeth (Carfan Annigonolrwydd Arennol Cronig [CRIC]), ac ni chafwyd y CrCl a GFR wedi'i fesur ar yr un pryd [3].
Er mwyn mynd i'r afael â'r ddau fater hyn, ceisiwyd dadansoddi setiau data lle'r oedd nifer fwy o gleifion wedi cael eu mesur o CrCl a GFR. Mae'r Astudiaeth Addasu Deiet mewn Clefyd Arennol (MDRD) ac Astudiaeth Affricanaidd Americanaidd o Glefyd yr Arennau a Gorbwysedd (AASK) yn ffynonellau data delfrydol gan eu bod ill dau yn garfannau a gynhelir yn drylwyr ac yn genedlaethol eu cwmpas. Mae ganddynt y fantais ychwanegol o gynnwys CrCl a GFR a fesurwyd dro ar ôl tro, gan ganiatáu inni wneud dadansoddiadau hydredol ac ychwanegu dimensiwn newydd nad oedd yn bresennol yn ein papur blaenorol. Fe wnaethom hefyd gynnal dadansoddiad trawsdoriadol o 4 carfan cleifion Clinig Mayo gwahanol a gafodd fesuriadau CrCl a GFR a oedd yn dangos yn glinigol ac a berfformiwyd ar yr un pryd (a ddylai leihau gwall mesur anghydnaws).
Dulliau
Astudiwch y boblogaeth
Mae'r astudiaeth hon yn seiliedig ar wybodaeth a gafwyd gan gyfranogwyr astudiaeth MDRD, cyfranogwyr astudiaeth AASK, a chronfa ddata o gliriadau creatinin ac iothalamate a gafwyd yn glinigol a berfformiwyd yng Nghlinig Mayo, Rochester, Minnesota. Cafwyd data dad-a nodwyd o'r astudiaethau MDRD ac AASK o Storfa Ddata'r Sefydliad Cenedlaethol ar gyfer Diabetes a Chlefyd Treulio ac Arennau (NIDDK) ar ôl cael cymeradwyaeth y Bwrdd Adolygu Sefydliadol (IRB) [11, 12]. Disgrifiwyd dyluniad a nodweddion sylfaenol yr Astudiaeth MDRD ac Astudiaeth AASK yn flaenorol [13-18]. Yn fyr, yn MDRD, 840 CKD (chclefyd yr arennau cronig)cleifion 18-70 oed gyda GFR wedi'i fesur 13-55 ml/mun/1.73m2 eu hapwyntio i bennu effeithiau diet arferol vs. isel yn erbyn protein isel iawn, a thargedau arferol yn erbyn pwysedd gwaed isel. Yn AASK, cafodd 1094 o Americanwyr Affricanaidd 18-70 oed gyda GFR 20-65 ml/mun/1.73m2 eu hapwyntio i reolaeth BP llym yn erbyn arferol a gwahanol gyfryngau gwrth-orbwysedd. Aeth cofrestreion astudiaeth MDRD ac AASK i fesur cliriad wrinol o iothalamate dro ar ôl tro i feintioli GFR a chasgliadau wrin dro ar ôl tro i feintioli CrCl. Er mwyn osgoi'r posibilrwydd o atchweliad i'r cymedr, fe wnaethom ddewis cynnal ein dadansoddiadau (traws-adrannol a) hydredol yn MDRD ac AASK gan ddechrau ar yr ymweliad 12-mis ar ôl hapnodi. Ar ôl eithrio'r cofrestreion a oedd ar goll iothalamate GFR (iGFR) neu CrCl, arhosodd 797 o gyfranogwyr MDRD ac 802 AASK â mesuriad yn ystod yr ymweliad astudio 12-mis. Ymhellach, cafodd 680 o gyfranogwyr MDRD a 688 o gyfranogwyr AASK fesuriad dilynol o iGFR a CrCl yn ystod yr ymweliad astudio o 24-mis a dyma oedd y boblogaeth astudiaeth ar gyfer dadansoddiad hydredol.
Roedd cronfa ddata Uned Astudiaethau Arennol Clinig Mayo yn cynnwys cleifion a gafodd gliriad iothalamad wrinol (iGFR) gyda creatinin wrin wedi'i amseru ar yr un pryd rhwng 2007 a 2012. Defnyddiwyd yr un casgliad wrin (dros gyfnod o amser unigol) i feintioli iGFR a CrCl. Cafwyd data dad-adnabyddedig ar ôl cymeradwyaeth IRB priodol. Ar gyfer y dadansoddiad presennol, rydym wedi eithrio cleifion o dan 18 oed, ar ddialysis, neu â hanes o ddargyfeirio wrinol. Eithriwyd hefyd cleifion heb creatinin serwm/plasma o'r un diwrnod ag iGFR, a chleifion ag iGFR neu CrCl <5 ml/min/1.73m2="" neu=""> 300 ml/min/1.73m2. O ystyried y gwahaniaethau disgwyliedig yn lefel swyddogaeth yr arennau a ffactorau eraill [19], fe wnaethom gyfyngu'r dadansoddiad presennol i'r pedwar arwydd mwyaf cyffredin ar gyfer profion iGFR: CKD (chclefyd yr arennau cronig)cleifion (n=1693), derbynwyr trawsblaniad aren (n=1461), is-grŵp rhoi aren ar ôl (n=206) a darpar roddwyr arennau (n=464) [19].

Cistanche--Cronigarenclefyd
Mesuriadau CrCl a GFR
Yn yr astudiaeth MDRD, mesurwyd GFR fel clirio wrinol o 125I-iothalamad (iGFR) ar ôl chwistrelliad isgroenol o 35 microcuries heb roi epineffrîn ar yr un pryd. Cyfrifwyd GFR fel y gymhareb o gyfartaleddau amser-bwysol o gyfraddau ysgarthiad wrin y marciwr iothalamate a chrynodiadau serwm y marciwr dros dri i bedwar cyfnod casglu yn olynol [20]. Y cyfernod amrywiad llog canolrif (CV) ar gyfer iGFR oedd 9.4 y cant [20]. Mesurwyd crynodiadau creatinin serwm ac wrin gan assay picrate alcalïaidd gydag adweithydd Lloyd a assay picrate alcalïaidd cinetig [21]. Cyfrifwyd CrCl yn seiliedig ar UV/P o un casgliad wrin 24- ac fel iGFR, cafodd ei safoni hefyd i arwynebedd y corff.
Yn yr astudiaeth AASK, aseswyd GFR trwy gliriad wrinol o 125I-ithalamate (iGFR) ar ôl chwistrelliad isgroenol o 35 microcuries o 125I-iothalamad. Cyfrifwyd GFR ar gyfer pob 30-cyfnod gan ddefnyddio cymedr logarithmig y cyfrif plasma 125I-iothalamad yn ystod y cyfnod. Defnyddiwyd cymedr rhifyddol y pedwar cyfnod casglu i gyfrifo'r GFR. Mewn 3.5 y cant o'r achosion, cyfrifwyd GFR yn seiliedig ar wybodaeth o dri chyfnod casglu [22-24]. Y CV canolrif ar gyfer iGFR dros y cyfnodau casglu oedd 10.7 y cant [22]. Mesurwyd creatinin serwm ac wrin gan ddefnyddio assay picrate alcalïaidd cinetig (dull Jaffe) yn Labordy Biocemeg Ganolog AASK yn yr Adran Meddygaeth Labordy yng Nghlinig Cleveland [23, 24]. Cyfrifwyd CrCl o ysgarthiad creatinin mewn casgliad wrin 24-h ac un mesuriad o creatinin serwm [23], ac fel iGFR, hefyd wedi'i safoni i arwynebedd y corff. Yn y carfannau MDRD ac AASK, cafodd CrCl ac iGFR eu meintoli gan ddefnyddio casgliadau wrin gwahanol wedi'u hamseru.
Yng ngharfan Clinig Mayo, mesurwyd GFR trwy gliriad arennol o iothalamate nad yw'n radiolabel [25]. Perfformiwyd y prawf o dan brotocol safonol lle'r oedd cleifion yn ymprydio ac yn cael profion yn gynnar yn y dydd i leihau effeithiau diet ac amrywiadau dyddiol ar GFR. Cawsant eu hydradu trwy'r geg gyda 4-6 gwydraid o ddŵr cyn chwistrelliad isgroenol o iothalamad heb label radio. Ddwy awr yn ddiweddarach, mesurwyd clirio iothalamate arennol dros 45-60 munud. Mesurwyd crynodiadau plasma ac iothalamad wrin gan sbectrometreg màs cromatograffaeth hylifol-tandem (LC-MS/MS)[26]. Cafwyd gwerthoedd creatinin serwm neu plasma gan ddefnyddio dull sbectrometreg màs gwanhau isotop (IDMS) - dull enzymatig Roche y gellir ei olrhain (Roche P neu D Modular neu Roche Cobas C501, Indianapolis, IN) gan ddefnyddio sampl gwaed a gafwyd o fewn 24 h i'r astudiaeth. Mewn cyferbyniad â CRIC, MDRD, ac AASK, yn y cyfranogwyr Clinig Mayo, defnyddiwyd yr un casgliad wrin wedi'i amseru ar gyfer pob person i bennu GFR a CrCl.
Dadansoddiad ystadegol
Mewn dadansoddiadau trawsdoriadol (MDRD, AASK, a chohort Clinic Mayo), archwiliwyd y berthynas rhwng cymhareb CrCl / iGFR mewn gwahanol gategorïau o iGFR neu lefelau gwahanol o CrCl fel yn ein dull blaenorol [3]. Fe wnaethon ni astudio secretion cymharol creatinin (CrCl / iGFR) oherwydd ei fod yn cael ei adrodd yn eang yn y llenyddiaeth.
Yn y dadansoddiadau hydredol MDRD ac AASK, gan ddynwared y dadansoddiad gan Shemesh et al. [8], yn gyntaf fe wnaethom rannu poblogaeth yr astudiaeth i'r rhai a gafodd welliant yn iGFR dros amser yn erbyn y rhai a gafodd iGFR waethygu dros amser. Yna archwiliwyd sut y newidiodd y gymhareb CrCl/iGFR yn y ddau grŵp hyn. Wedi hynny, rhannwyd poblogaeth yr astudiaeth i'r rhai a gafodd welliant yn y CrCl a fesurwyd dros amser o'i gymharu â'r rhai a oedd wedi gwaethygu CrCl a fesurwyd dros amser i archwilio sut y newidiodd y gymhareb CrCl/iGFR yn y ddau grŵp hyn.
Defnyddiwyd gwyriad cymedrig a safonol neu amrediad canolrifol a rhyngchwartel fel ystadegau disgrifiadol i grynhoi dosraniadau paramedrau diddordeb. Cynhaliwyd yr holl ddadansoddiadau ystadegol gan ddefnyddio IBM SPSS Statistics 20.0 (IBM Corporation, Armonk, NY). Cadarnhawyd dadansoddiad o ddata Mayo yn annibynnol gan ddefnyddio meddalwedd JMP fersiwn 10.0 (SAS Institute, Cary, NC).

Cistanche--Clefyd cronig yn yr arennau
Canlyniadau
Dadansoddiad trawsdoriadol mewn MDRD ac AASK
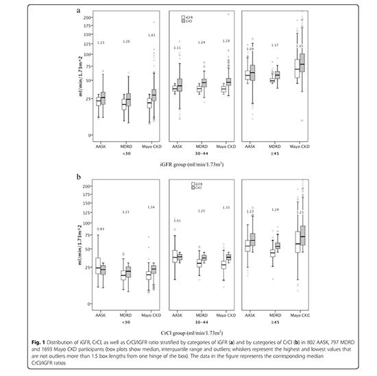
Ymhlith 797 o gyfranogwyr MDRD, y CrCl canolrif oedd 34 (ystod rhyngchwartel [IQR], 22-49) ml/min/1.73m2 a chanolrif iGFR 28 (IQR, 18-39) ml/min/1.73m2. Cymhareb canolrif CrCl/iGFR oedd 1.24 (IQR, 1.10–1.37). O’r 674 o gyfranogwyr MDRD â data cysylltiedig, y treigl amser canolrif rhwng {{20}}h casglu wrin a mesur iGFR oedd 0 diwrnod (IQR 0–1 diwrnod).
Ymhlith 802 gyfranogwr AASK, y CrCl canolrif oedd 48 (IQR, 31–66) ml/min/1.73m2 a chanolrif iGFR 46 (IQR, 33–59) ml/mun/1.73m2. Cymhareb canolrif CrCl/iGFR oedd 1.13 (IQR, 0.88–1.35).
Roeddem yn gallu ailadrodd ein canfyddiadau traws-adrannol CRIC blaenorol [3] yn MDRD ac AASK. Yn benodol, roedd y gymhareb CrCl/iGFR yn gynyddol fwy ar lefelau iGFR is pan ddosbarthwyd cleifion yn ôl categorïau iGFR yn MDRD ac AASK (Ffig. 1a) (manylion yn Ffeiliau Ychwanegol 1: Tablau S1A ac S2A). Fodd bynnag, pan ddosbarthwyd yr un cleifion yn ôl categorïau CrCl, roedd y gymhareb CrCl/iGFR yn llai ar lefel CrCl is (Ffig. 1b) (manylion yn Ffeil Ychwanegol 1: Tablau S1B a S2B). Gwelwyd canlyniadau tebyg pan ddefnyddiwyd tertiles o iGFR neu CrCl ar gyfer toriad (data heb ei ddangos) neu mewn dadansoddiad parhaus (Ffeil ychwanegol 2: Ffigur S1 a S2).

Dadansoddiad hydredol yn MDRD ac AASK
Mewn dadansoddiadau hydredol, mae'r bwlch amser canolrif rhwng ailasesiad oarenswyddogaeth oedd 12.0 (IQR, 8.3-12.3) mis mewn 680 o gyfranogwyr astudiaeth MDRD. Edrychwyd ar is-setiau a gafodd welliant mewn iGFR (CrCl) dros amser yn erbyn y rhai a oedd wedi gwaethygu iGFR (CrCl) dros amser oherwydd bod gennym ddiddordeb mewn darganfod sut y newidiodd y gymhareb CrCl/iGFR gydag iGFR (CrCl) dros amser. Cynyddodd y gymhareb CrCl/iGFR ymhlith cyfranogwyr y gostyngodd eu iGFR dros amser, ond gostyngodd y gymhareb CrCl/iGFR ymhlith y rhai y cynyddodd eu iGFR dros amser (Ffig. 2); arsylwyd y gwrthwyneb gyda newidiadau yn CrCl (Ffig. 3). Mae'r rhain yn ganfyddiadau cyfochrog yn ein dadansoddiad trawsdoriadol.
Gwelwyd canlyniadau tebyg mewn 688 o gyfranogwyr astudiaeth AASK (bwlch amser canolrif rhwng ailasesiad oarenswyddogaeth 12.2 (IQR, 11.7–17.1) mis) (Ffeil ychwanegol 3: Ffigur S3 a S4).


Dadansoddiad trawsdoriadol yn is-grwpiau Clinig Mayo: cymhariaeth rhwng grwpiau
Ymhlith y pedwar is-grŵp Clinig Mayo, mae'r potensialarenrhoddwyr oedd â'r iGFR canolrif uchaf (97 ml/mun/1.73m2), ac yna'r postarenis-grŵp rhoi (64 ml/mun/1.73m2), derbynwyr trawsblaniadau aren (48ml/munud/1.73m2), a’r CKD (chclefyd yr arennau cronig)cleifion (41 ml/mun/1.73m2) (Tabl 1).
Roedd y gymhareb CrCl/iGFR ganolrifol ar ei hisaf ymhlith y rhoddwyr arennau posibl (1.05), ac yna’r is-grŵp rhoi arennau ar ôl rhoi arennau (1.09), yarenderbynwyr trawsblaniad (1.25), a'r CKD (chclefyd yr arennau cronig)cleifion (1.25) (Tabl 1). Felly, yn y gymhariaeth hon rhwng grwpiau, yn isarenroedd ffwythiant a fesurwyd gan iGFR a CrCl--yn gysylltiedig â chymhareb CrCl/iGFR uwch.

Dadansoddiad trawsdoriadol yn is-grwpiau Clinig Mayo: cymhariaeth o fewn grŵp
O fewn pob un o'r 4 is-grŵp carfan Clinig Mayo, roedd y gymhareb CrCl/iGFR, yn gyffredinol, yn gynyddol fwy gyda lefelau iGFR is (Tabl 2) (manylion yn Ffeil Ychwanegol 1: Tabl S3_1A, S{{4) }}A, S3_3A, ac S3_4A).
Pan ddosbarthwyd y cyfranogwyr yn ôl categorïau CrCl, roedd cymhareb CrCl/iGFR yn llai gyda lefel CrCl is ym mhotensial Clinig Mayoarenrhoddwyr ac is-grŵp rhoi aren ar ôl (Tabl 2) (manylion yn Ffeil Ychwanegol 1: Tabl S3_3B ac S3_4B).
Yn y derbynwyr trawsblaniadau, nid oedd perthynas fesul cam syml rhwng cymhareb CrCl/iGFR a chategorïau CrCl, ond yn is na CrCl o 75 ml/munud/1.73m2, roedd y gymhareb CrCl/iGFR yn gynyddol fwy gyda lefel CrCl is (Tabl 2) (manylion yn Ffeil Ychwanegol 1: Tabl S3_2B).
Fodd bynnag, ymhlith y Clinig Mayo CKD (chclefyd yr arennau cronig)cleifion--yn wahanol i'r hyn a arsylwyd yn y CKD (chclefyd yr arennau cronig)poblogaethau CRIC, MDRD, ac AASK--roedd cymhareb CrCl/iGFR yn gynyddol fwy gyda lefel CrCl is (Tabl 2, Ffig. 1b) (manylion yn Ffeil Ychwanegol 1: Tabl S3_1B) .

Trafodaeth
Er ei bod yn hysbys ers blynyddoedd lawer bod creatinin yn cael ei glirio trwy hidlo a secretiad, mae bylchau sylfaenol yn parhau yn ein gwybodaeth ynghylch ffisioleg a phathoffisioleg secretion tiwbaidd creatinin mewn gwahanol gyflyrau iechyd a chlefydau. Er enghraifft, pa ffracsiwn yn union o creatinin sy'n cael ei glirio trwy secretion vs. hidlo? A yw'n bosibl y gallai gwall mesur yn unig gyfrif yn llwyr am yr arsylwi hirsefydlog bod y gymhareb CrCl/GFR yn fwy ar GFR is ymhlith cleifion â CKD (chclefyd yr arennau cronig)? Mae'r cwestiynau hyn yn berthnasol yng nghyd-destun diddordeb diweddar o'r newydd mewn swyddogaeth tiwbaidd arennol [27-29]. Gall gwell dealltwriaeth o secretiad tiwbaidd fel marciwr annibynnol o swyddogaeth yr arennau roi mewnwelediad i bathoffisioleg clefyd yr arennau a gwella rhagfynegiad canlyniadau andwyol [27]. Mae eraill wedi pwysleisio bod llawer o gyffuriau yn cael eu clirio gan secretiad tiwbaidd, ac addasu dos cyffuriau yn CKD (chclefyd yr arennau cronig)ni ddylai gymryd yn ganiataol bod prosesau ysgarthol arennol bob amser yn dirywio ochr yn ochr â GFR fel CKD (chclefyd yr arennau cronig)yn symud ymlaen [30].
Yn yr astudiaeth hon, fe wnaethom ddangos y canlynol. Yn gyntaf, rydym yn gallu ailadrodd canlyniadau ein canlyniadau trawsdoriadol CRIC gwreiddiol yn MDRD ac AASK [3]. Mae ailadrodd ein canfyddiadau cychwynnol mewn dwy garfan ymchwil fawr arall yn tanlinellu’r syniad y gallai rhai astudiaethau yn y llenyddiaeth fod wedi’u gogwyddo gan gamgymeriadau mesur, nad yw wedi’i werthfawrogi’n ddigonol yn y gorffennol. (Mewn gwirionedd, nid yw gwall mesur wedi'i grybwyll o gwbl yn y llenyddiaeth flaenorol cyn belled ag y gallwn ddweud.)
Yn ail (ac yn perthyn yn agos yn gysyniadol), rydym yn dangos bod gwall mesur yn debygol o chwarae rhan nas gwerthfawrogir hefyd mewn llenyddiaeth flaenorol sy'n disgrifio newidiadau hydredol yn y gymhareb CrCl / GFR. Er enghraifft, yn yr astudiaeth a ddyfynnwyd yn helaeth gan Shemesh et al. [8], daeth yr awduron i'r casgliad o'u dadansoddiad hydredol bod "Mae'r newidiadau i'r gwrthwyneb mewn secretion creatinin ffracsiynol a GFR wrth i glefyd glomerwlaidd ddirywio neu wella yn arwain at bylu maint y newid pan ddefnyddir creatinin i fonitro dilyniant yr anaf glomerwlaidd [8] ." Heb ei ystyried gan yr awduron yw'r ffaith y gall gwall mesur yn unig esbonio llawer o'r arsylwi hwn.
Yn drydydd, gan mai'r casgliad anghywir o sbesimenau wrin yw'r ffynhonnell fwyaf o wallau mesur ar gyfer GFR a CrCl a fesurir yn uniongyrchol trwy gliriad wrinol, pan fesurwyd CrCl a GFR gan ddefnyddio'r un casgliadau wrin wedi'u hamseru, dylid lleihau rôl gwallau mesur yn sylweddol. Yn y cyd-destun hwn, mae'r canfyddiadau yng ngharfan Clinig Mayo CKD (chclefyd yr arennau cronig)mae cleifion (a derbynwyr trawsblaniadau aren gyda CrCl < 75="" ml/mun/1.73="" m2)="" o="" ddiddordeb="" arbennig.="" yn="" y="" carfannau="" hyn="" a="" ddefnyddiodd="" yr="" un="" casgliad="" wrin="" i="" feintioli="" igfr="" a="" crcl,="" ni="" welsom="" bellach="" fod="" cymhareb="" crcl/igfr="" yn="" gostwng="" ar="" crcl="" cynyddol="" is.="" yn="" lle="" hynny,="" yn="" y="" cleifion="" hyn,="" mae'r="" gymhareb="" crcl/igfr="" yn="" cynyddu="" mewn="" dadansoddiad="" trawsdoriadol="" gyda="" crcl="" sy'n="" gynyddol="" is="" (ac="" igfr="" yn="" gynyddol="" is).="" mae="" hyn—a'r="" cymariaethau="" rhwng="" grwpiau="" a="" ddangosir="" yn="" nhabl="" 1---yn="" cefnogi="" addysgu'r="" gwerslyfr="" bod="" yna="" fwy="" o="" secretiad="" creatinin="" tiwbaidd="" ar="" gyfartaledd="" gyda="" gweithrediad="" yr="" arennau'n="" gwaethygu="" (gan="" fod="" gan="" y="" rhai="" â="" crcl="" is="" swyddogaeth="" yr="" arennau="" waeth).="" mae'r="" data="" hyn="" yn="" dangos="" na="" allai="" gwall="" mesur="" yn="" unig="" gyfrif="" yn="" gyfan="" gwbl="" am="" yr="" arsylwi="" hirsefydlog="" bod="" y="" gymhareb="" crcl/gfr="" yn="" cynyddu="" wrth="" i="" gfr="" ostwng="" mewn="" cleifion="" â=""> (chclefyd yr arennau cronig).
Yn bedwerydd, nodwn fod amrywiad sylweddol yn y gymhareb CrCl/iGFR gyfartalog ar draws astudiaethau. Yn astudiaeth CRIC, y gymhareb ganolrif oedd 1.09 [3]. Yn astudiaeth MDRD, roedd yn 1.24 ac yn astudiaeth AASK, roedd yn 1.13. Un broblem yw bod yr astudiaethau hyn ac astudiaethau hŷn eraill [3-9] wedi'u gwneud cyn cyfnod safoni'r calibradwr cyfeirio olrhain IDMS. Problem arall yw bod gwahanol astudiaethau wedi defnyddio gwahanol ddulliau i fesur GFR a gwyddys bod y rhain yn anghyson â'i gilydd [31-33], gan wneud casgliadau diffiniol yn anodd. Hyd yn oed o fewn ein hastudiaeth, mesurwyd creatinin serwm gan ddefnyddio'r dull enzymatig yng Nghlinig Mayo ond nid yn MDRD nac AASK. Gall cromogenau nad ydynt yn creatinin (fel asetoacetate a rhai gwrthfiotigau) ddylanwadu ar y dull picrate alcalïaidd ar gyfer mesur creatinin, yn enwedig ar lwyfannau hŷn [34]. Nid oes gan y dull 'Jaffe' fel y'i gelwir rysáit safonol ac mae llawer o amrywiad methodolegol wedi digwydd dros amser [35]. Yn ddiddorol, yn nata Clinig Mayo (Tabl 2), mae'n ymddangos bod y gymhareb CrCl/iGFR yn amrywio yn ôl y math o gyflwyniad clinigol. Er enghraifft, ar gyfer y categori iGFR 60–74 ml/mun/1.73m2, y gymhareb CrCl/iGFR ganolrifol oedd 1.18 yn CKD (chclefyd yr arennau cronig)cleifion ond 1.04 yn yr is-grŵp rhoi arennau ar ôl hynny. Felly efallai ei bod yn ymddangos, er gwaethaf degawdau o ymchwil a datganiadau sy'n ymddangos yn ddiffiniol mewn gwerslyfrau ac erthyglau adolygu, ni wyddom yn bendant i ba raddau y mae CrCl yn goramcangyfrif GFR.
Mae cryfderau ein hastudiaeth yn cynnwys dilysu ein canfyddiadau blaenorol (yn CRIC) [3] o ddau CKD mawr arall (chclefyd yr arennau cronig)astudiaethau ymchwil (MDRD ac AASK). Fe wnaethom ymestyn ein dadansoddiad trawsdoriadol i ddadansoddiadau hydredol i dynnu sylw at y ffaith y gallai gwallau mesur hefyd fod wedi cyfrannu at adroddiadau blaenorol o newidiadau amserol yn CrCl/GFR dros amser o fewn person [8]. Yn olaf, mae data Clinig Mayo, yn seiliedig ar ddefnyddio'r un casgliad wrin wedi'i amseru i fesur CrCl a GFR, yn taflu goleuni newydd ar rôl gyfyngedig gwall mesur.
Rydym hefyd yn cydnabod nifer o gyfyngiadau. Yn gyntaf, ni wnaethom fesur iGFR a CrCl gan ddefnyddio'r un samplau gwaed yng nghleifion Clinig Mayo a fyddai wedi lleihau gwall mesur hyd yn oed ymhellach. Ond mae astudiaethau blaenorol Clinig Mayo wedi cadarnhau nad yw creatinin serwm bore ymprydio arferol o fewn 24-h o'r astudiaeth a creatinin plasma a gafwyd yn ystod yr astudiaeth iothalamate yn wahanol iawn (data heb ei ddangos). Yn ail, nid oedd gennym wybodaeth am y defnydd cydredol o gyffuriau, fel trimethoprim neu cimetidine, a allai fod wedi effeithio ar secretion tiwbaidd creatinin. Yn drydydd, ni wnaethom gynnal astudiaethau ymyriadol gydag asiantau fel cimetidine i archwilio effaith rhwystro secretion tiwbaidd Cr [36-39]. Fodd bynnag, nid yw'r arbrofion hyn yn syml gan fod cimetidine yn cael ei glirio gan yr arennau, felly mewn cleifion â CKD mwy datblygedig (chclefyd yr arennau cronig), mae llai o cimetidine yn cael ei hidlo ac mae mwy o cimetidine ar gael yn y cylchrediad pericapilari tiwbaidd procsimol. Felly, mae mwy o cimetidine yn mynd i mewn i'r celloedd tiwbaidd procsimol i gystadlu â creatinin ar gyfer y ffin brwsh (luminal) cludwr secretory [39]. Nid yw'n glir ychwaith sut y gellir sefydlu ataliad llwyr. Yn ddiddorol, nododd un astudiaeth hŷn a geisiodd wneud hynny nad oedd "swm y goramcangyfrif o wir GFR trwy gliriad creatinin yn gysylltiedig â graddau nam swyddogaethol arennol [37]." Fodd bynnag, awgrymodd astudiaethau eraill fod y secretion tiwbaidd o cimetidine yn cynyddu'n wrthdro gyda GFR [36,38, 39].

Cistanche--Clefyd cronig yn yr arennau
Casgliadau
I gloi, amlygodd ein hastudiaeth flaenorol wall mesur fel dehongliad amgen o'r llenyddiaeth nad yw wedi'i ystyried hyd yma [3]. Mae'r astudiaeth gyfredol yn dangos na allai gwall mesur yn unig gyfrif yn gyfan gwbl am yr arsylwi hirsefydlog bod y gymhareb CrCl/GFR yn cynyddu wrth i GFR ostwng mewn cleifion â CKD (chclefyd yr arennau cronig). Mae ein data hefyd yn tynnu sylw at fylchau mewn gwybodaeth o ran faint mae CrCl yn goramcangyfrif GFR mewn gwirionedd, er gwaethaf degawdau o lenyddiaeth ar y pwnc hwn.
Gwybodaeth atodol
Mae gwybodaeth atodol yn cyd-fynd â'r papur hwn yn https://doi.org/10.1186/s12882-020-01736-6.
Byrfoddau
AASK: Astudiaeth Affricanaidd Americanaidd o Glefyd yr Arennau a Gorbwysedd; CKD:Cronigaren clefyd; CrCl: Clirio Creatinin; CRIC: Carfan Annigonolrwydd Arennol Cronig; CV: Cyfernod amrywiad; GFR: Cyfradd hidlo glomerwlaidd; iGFR: Cyfradd hidlo glomerwlaidd yn ôl clirio iothalamate; MDRD: Addasu Diet mewn Clefyd Arennol
Diolchiadau
Cynhaliwyd yr astudiaethau MDRD ac AASK gan yr Ymchwilwyr MDRD ac AASK a'u cefnogi gan y Sefydliad Cenedlaethol Diabetes a Chlefydau Treulio ac Arennau (NIDDK). Darparwyd y data o'r MDRD a'r astudiaethau AASK a adroddir yma gan Storfeydd Canolog NIDDK. Ni pharatowyd y llawysgrif hon mewn cydweithrediad ag Ymchwilwyr yr MDRD a'r astudiaethau AASK ac nid yw o reidrwydd yn adlewyrchu barn neu farn yr MDRD a'r astudiaethau AASK, Storfeydd Canolog NIDDK, na'r NIDDK.
Cyfraniadau awduron
XZ, ADR, CEM, JCL, a C-yH luniodd a dyluniodd yr astudiaeth; Cafodd ADR, JCL, ac EK y data; Perfformiodd XZ, ADR, CEM, JCL, EK, a C-yH ddadansoddiadau ystadegol a dehongli'r data; XZ a C-yH a ddrafftiodd y llawysgrif; ADR, CEM, JCL, C-yH yn darparu goruchwyliaeth neu fentoriaeth; diwygiodd pob awdur y llawysgrif yn feirniadol ar gyfer cynnwys deallusol pwysig. Darllenodd a chymeradwywyd y llawysgrif derfynol gan bob awdur.
Ariannu
Cefnogwyd yr astudiaeth hon gan grantiau gan y Sefydliad Cenedlaethol Diabetes, Treulio, a Chlefydau Arennau K24 DK92291 (Dr. Hsu) a R01 DK090358 (Rheol Dr.). Nid oedd gan gyllidwyr yr astudiaeth unrhyw rôl mewn dylunio astudiaeth; casglu, dadansoddi a dehongli data; paratoi ac adolygu'r llawysgrif, neu yn y penderfyniad i gyflwyno'r llawysgrif i'w chyhoeddi.
Argaeledd data a deunyddiau
Mae'r data o'r MDRD a'r astudiaethau AASK a adroddir yma ar gael ar gais yn Storfeydd Canolog NIDDK. Nid yw'r data o gronfa ddata Uned Astudiaethau Arennol Clinig Mayo ar gael i'r cyhoedd oherwydd natur gyfrinachol gwybodaeth cleifion a gafwyd ar gyfer gofal clinigol.
Cymeradwyaeth foesegol a chaniatâd i gymryd rhan
Cymeradwywyd protocol yr astudiaeth gan: Bwrdd Adolygu Sefydliadol Ysbyty Coleg Meddygol Peking Union, Prifysgol California, Bwrdd Adolygu Sefydliadol San Francisco, a Bwrdd Adolygu Sefydliadol Clinig Mayo. Mae'r astudiaeth yn unol â Datganiad Helsinki. Cafwyd caniatâd ysgrifenedig gan gyfranogwyr astudiaethau AASK ac MDRD. Cafwyd hepgoriad caniatâd gan IRB Clinig Mayo i astudio’r cleifion o gronfa ddata Uned Astudiaethau Arennol Clinig Mayo oherwydd natur ôl-weithredol y data clinigol hyn.
Cistanche--Clefyd cronig yn yr arennau
O: 'Secretion tiwbaidd o creatinin a swyddogaeth yr arennau: astudiaeth arsylwadol' gan Xuehan Zhang1* et al
---BMC Nephrology (2020) 21:108 https://doi.org/10.1186/s12882-020-01736-6
Cyfeiriadau
1. Levey AS, Coresh J, Greene T, et al. Mynegi'r addasiad o ddeiet mewn astudiaeth clefyd arennol hafaliad ar gyfer amcangyfrif cyfradd hidlo glomerwlaidd gyda gwerthoedd creatinin serwm safonedig. Clin Chem. 2007; 53(4):766–72.
2. Levey AS, Stevens LA, Schmid CH, et al. Hafaliad newydd i amcangyfrif cyfradd hidlo glomerwlaidd. Ann Intern Med. 2009; 150(9):604–12.
3. Zhang X, McCulloch CE, Lin F, et al. Gwall mesur fel esboniad amgen ar gyfer yr arsylwi bod y gymhareb CrCl/GFR yn uwch ar GFR is. Clin J Am Soc Nephrol. 2016; 11(9): 1574–81.
4. Inker LA, Perrone RD. Cyfrifo'r cliriad creatinin, 2015. Ar gael yn http://www.uptodate.com/contents/calculation-of-the-creatinineclearance. Cyrchwyd 10 Chwefror, 2016.
5. Pearlman AC, Gonin JM. Gwerthusiad o swyddogaeth yr arennau: profion biocemegol a meddygaeth niwclear. Yn: Wilcox CS, Tisher CC, golygyddion. Llawlyfr Neffroleg a Gorbwysedd. 5ed arg. Philadelphia: Lippincott Williams a Wilkins; 2004. t. 20–3.
6. Schwartz GJ, Furth SJ. Mesur cyfradd hidlo glomerwlaidd ac amcangyfrif yncronigarenclefyd. Pediar Nephrol. 2007; 22(11): 1839–48.
7. Shoskes DA, McMahon AW. Ffisioleg arennol a phathoffisioleg. Yn: Kavoussi LR, Partin AW, Novick AC, Peters CA, golygyddion. Wroleg Campbell-Walsh. Philadelphia: Elsevier Saunders; 2012. t. 1025–46.
8. Shemesh O, Golbetz H, Kriss JP, Myers BD. Cyfyngiadau creatinin fel marciwr hidlo mewn cleifion glomerwlopathig. Arennau Int. 1985; 28(5):830–8.
9. Walser M. Asesu swyddogaeth arennol o fesuriadau creatinin mewn oedolion â methiant arennol cronig. Am J Arennau Dis. 1998; 32(1):23–31.
10. Rheol AD, Kremers WK. Beth yw'r dull cywir ar gyfer cymharu GFR drwy ddulliau gwahanol ar draws lefelau GFR? Clin J Am Soc Nephrol. 2016; 11(9): 1518–21.
11. Ku E, Glidden DV, Johansen KL, et al. Cysylltiad rhwng rheoli pwysedd gwaed llym yn ystodcronigaren clefyda llai o farwolaethau ar ôl i glefyd arennol cyfnod olaf ddechrau. Arennau Int. 2015; 87(5): 1055–60.
12. Ku E, Gassman J, Appel LJ, et al. Rheoli BP a risg hirdymor o ESRD a marwolaethau. J Am Soc Nephrol. 2017; 28(2):671–7.
13. Klahr S, Levey AS, Beck GJ, et al. Effeithiau cyfyngu ar broteinau dietegol a rheoli pwysedd gwaed ar ddatblygiad clefyd arennol cronig. NEngl J Med. 1994; 330(13):877–84.
14. Beck GJ, Berg RL, Coggins CH, et al. Materion dylunio ac ystadegol ynghylch addasu diet mewn treial clefyd arennol. Addasu diet mewn grŵp astudio clefyd arennol. Treialon Clin Rheoli. 1991; 12(5):566–86.
15. Greene T, Bourgoignie JJ, Habwe V, et al. Nodweddion gwaelodlin wrth addasu diet mewn astudiaeth clefyd arennol. J Am Soc Nephrol. 1993; 4(5): 1221-36.
16. Agodoa LY, Appel L, Bakris GL, et al. Effaith ramipril vs amlodipine ar ganlyniadau arennol mewn nephrosclerosis gorbwysedd. JAMA. 2001; 285(21):2719–28.
17. Wright JJT, Bakris G, Agodoa LY, et al. Effaith gostwng pwysedd gwaed a dosbarth cyffuriau gwrthhypertensive ar ddatblygiad clefyd gorbwysedd yr arennau. JAMA. 2002; 288(19): 2421–31.
18. Wright JTJ, Kusek JW, Toto RD, et al. Dyluniad a nodweddion gwaelodlin y rhai a gymerodd ran yn astudiaeth beilot yr astudiaeth Americanaidd Affricanaidd o glefyd yr arennau a gorbwysedd (AASK). Treialon Clin Rheoli. 1996; 17(4 suppl): 3S–16S.
19. Murata K, Baumann NA, Saenger AK, et al. Perfformiad cymharol hafaliadau MDRD a CKD-EPI ar gyfer amcangyfrif cyfradd hidlo glomerwlaidd ymhlith cleifion â chyflwyniadau clinigol amrywiol. Clin J Am Soc Nephrol.2011;6(8):1963–72.
20. Levey AS, Greene T, Schluchfer MD, et al. Mesuriadau cyfradd hidlo glomerwlaidd mewn treialon clinigol. Addasu diet yn y grŵp astudio clefyd arennol a'r grŵp ymchwil treial rheoli a chymhlethdodau diabetes. JAm Soc Nephrol. 1993; 4(5):1159–71.
21. Levey AS, Bosch YH, Coggins CH, et al. Effeithiau diet a therapi gwrthhypertensive ar glirio creatinin a chrynodiad creatinin serwm wrth addasu diet mewn astudiaeth clefyd arennol. J Am Soc Nephrol. 1996; 7(4):556–65.
22. Lewis J, Agodoa L, Cheek D, et al. Cymhariaeth o fesuriadau swyddogaeth arennol trawstoriadol mewn Americanwyr Affricanaidd â nephrosclerosis gorbwysedd a fformiwlâu cynradd i amcangyfrif cyfradd hidlo glomerwlaidd. Am J Arennau Dis. 2001; 38(4):744–53.
23. Coresh J, Toto RD, Kirk KA, et al. Clirio creatinin fel mesur o GFR mewn sgrineion ar gyfer astudiaeth beilot astudiaeth Affricanaidd-Americanaidd o glefyd yr arennau a gorbwysedd. Am J Arennau Dis. 1998; 32(1):32–42.
24. Toto RD, Kirk KA, Coresh J, et al. Gwerthusiad o creatinin serwm ar gyfer amcangyfrif cyfradd hidlo glomerwlaidd mewn Americanwyr Affricanaidd â nephrosclerosis gorbwysedd: canlyniadau astudiaeth beilot astudiaeth Americanaidd Affricanaidd o glefyd yr arennau a gorbwysedd (AASK). J Am Soc Nephrol. 1997; 8(2):279–87.
25. Wilson DM, Bergert JH, Larson TS, Liedtke RR. Mae GFR yn cael ei bennu gan iothalamad di-radiolabell gan ddefnyddio electrofforesis capilari. Am J Arennau Dis. 1997; 30(5):646–52.
26. Seegmiller JC, Burns BE, Fauq AH, et al. Meintioliad Iothalamad trwy sbectrometreg màs tandem i fesur cyfradd hidlo glomerwlaidd. Clin Chem.2010;56(4):568–74.
27. Suchy-Dicey AC, Laha T, Hoofnagle A, et al. Secretiad tiwbaidd yn CKD (chclefyd yr arennau cronig). J Am Soc Nephrol. 2016; 27(7): 2148–55.
28. Garimella PS, Li K, Naviaux JC, et al. Defnyddio sbesimenau troeth sbot i asesu secretiad tiwbaidd. Am J Arennau Dis. 2016; 69(5):709–11.
29. Rivara MB, Zelnick LR, Hoofnagle AN, et al. Amrywiad dyddiol a hirdymor mewn crynodiadau plasma a chliriadau arennol o farcwyr cylchredeg secretion tiwbaidd procsimol yr arennau. Clin Chem. 2017; 63(4):915–23
30. Chapron A, Shen DD, Kestenbaum BR, et al. A yw clirio secretory yn dilyn cyfradd hidlo glomerwlaidd yncronigarenafiechydon? Ailystyried y rhagdybiaeth neffron gyfan. Clin Transl Sci. 2017; 10(5):395–403.
31. Seegmiller JC, Burns BE, Schinstock CA, Lieske JC, Larson TS. Anghytundeb rhwng cliriadau wrinol iothalamate ac iohexol. Am J Arennau Dis. 2016; 67(1):49–55.
32. Perrone RD, Steinman TI, Beck GJ, et al. Cyfleustodau marcwyr hidlo radioisotopig mewn annigonolrwydd arennol cronig: cymhariaeth ar yr un pryd o 125Iiothalamate, 169Yb-DTPA, 99mTc-DTPA, ac inulin. Addasu diet mewn astudiaeth clefyd arennol. Am J Arennau Dis. 1990; 16(3): 224-35.
33. Hsu CY, Bansal N. Mesur GFR fel "safon aur"—nid aur yw'r cyfan sy'n disgleirio? Clin J Am Soc Nephrol. 2011; 5(8):1813–4.
34. Peake M, Whiting M. Mesur creatinin serwm-cerflun cyfredol a nodau yn y dyfodol. Clin Biochem Parch. 2006; 27(4):173–84.
35. Delanghe JR, Speeckaert MM. Penderfyniad creatinin yn ôl Jaffe beth mae'n ei gynrychioli? NDT Byd Gwaith. 2011; 4(2):83–6.
36. Hilbrands LB, Artz MA, Wetzels JF, Koene RA. Mae cimetidine yn gwella dibynadwyedd creatinin fel marciwr hidlo glomerwlaidd. Arennau Int. 1991; 40(6): 1171–6.
37. van Acker BA, Koomen GC, Koopman MG, de Waart DR, Arisz L. Clirio Creatinine yn ystod gweinyddiaeth cimetidine ar gyfer mesur cyfradd hidlo glomerwlaidd. Lancet. 1992; 340(8831): 1326–9.
38. Kabat-Koperska J, Motyl W, Domanski L, et al. Dulliau penderfynu GFR - clirio creatinin ar ôl gweinyddu cimetidine mewn ymarfer clinigol. Acta Med Austriaca. 2004; 31(2):51–5.
39. Zaltzman JS, Whiteside C, Cattran DC, Lopez FM, Logan AG. Mesur hidlo glomerwlaidd â nam yn gywir gan ddefnyddio cimetidine llafar un dos. Am J Arennau Dis. 1996; 27(4):504–11.


