Matrics Blocio Syndecan wedi'i Gyfryngu â Meteloproteinas-4 Mae Shedding yn Adfer y Glycocalycs Endothelaidd A Swyddogaeth Rhwystr Hidlo Glomerwlaidd mewn Clefyd Diabetig Cynnar ar yr Arennau
Mar 15, 2022
Cyswllt: Audrey Hu Whatsapp/hp: 0086 13880143964 E-bost:audrey.hu@wecistanche.com
Mae cannabidiol yn gwella episodig geiriolcofmewn cyfranogwyr ifanc iach: Treial clinigol ar hap Janine Hotz a,d,*, Bernhard Fehlmann a,d, Andreas Papassotiropoulos b,c,d, Dominique JF. de Quervain a,c,d, Nathalie S. Schicktanz a,d,** Is-adran Niwrowyddoniaeth Wybyddol, Cyfadran Seicoleg, Prifysgol Basel, CH, Y Swistir b Is-adran Niwrowyddoniaeth Foleciwlaidd, Cyfleuster Hyfforddi'r Gyfadran Seicoleg a Gwyddorau Bywyd, Adran Biozentrum, Prifysgol Basel, CH, y Swistir c Clinigau Seiciatrig y Brifysgol, Prifysgol Basel, CH, y Swistir d Llwyfan Ymchwil Trawsgyfadran, Prifysgol Basel, CH, y Swistir

Gall Cistanche helpu i wella cof
ABSENOLDEB
Mae canabis yn cynnwys llu o wahanol gyfansoddion. Gallai un ohonynt, cannabidiol - sylwedd nad yw'n seicoweithredol - wrthweithio effeithiau negyddol Δ-9-Tetrahydrocannabinol ar hippocampus-ddibynnolcofnam. Nod yr astudiaeth bresennol oedd ymchwilio i effaith anwedd cannabidiol ar episodig geiriolcofmewn pynciau ifanc iach. Defnyddiwyd hap-brawf dwbl-ddall, a reolir gan blasebo, mewn 39 o bynciau ifanc iach. Derbyniodd y cyfranogwyr unwaith dos sengl o e-hylif cannabidiol (0.25 ml, 5 y cant cannabidiol, 12.5 mg cannabidiol) ac unwaith plasebo ar gyfer anwedd ar ôl dysgu 15 o enwau digyswllt. Y prif fesur canlyniad oedd yr oedi byr ar lafarcofperfformiad (nifer yr enwau a adalwyd yn gywir am ddim) 20 munud ar ôl dysgu. Cwblhaodd 34 o gyfranogwyr (oedran cymedrig: 22.26 [3.04]) yr holl ymweliadau a chofnodi dadansoddiadau (derbyniodd 17 cannabidiol a derbyniodd 17 y plasebo yn gyntaf). episodig llafar gwell cannabidiolcofperfformiad (plasebo: 7.03 [2.34]; cannabidiol 7.71 [2.48]; gwahaniaeth grŵp wedi'i addasu 0.68, 95 y cant CI 0.01 i 1.35; R2 =.028, p=.048). Yn bwysig, ni wnaethom ganfod effeithiau meddyginiaeth ar fesurau canlyniad eilaidd sylw neu waithcofperfformiad, gan awgrymu nad yw CBD yn cael unrhyw effaith negyddol ar y swyddogaethau gwybyddol sylfaenol hyn. Mae'r canlyniadau'n unol â'r syniad bod anweddu cannabidiol yn rhyngweithio â'r system endocannabinoid ganolog ac yn gallu modiwleiddio prosesau cof, ffenomen sydd â photensial therapiwtig posibl. Mae angen astudiaethau pellach i ymchwilio i'r perthnasoedd dos-ymateb ac amser-ymateb gorau posibl.
1. Rhagymadrodd
Canabis yw un o’r cyffuriau anghyfreithlon a ddefnyddir amlaf yn y byd (Swyddfa’r Cenhedloedd Unedig ar Gyffuriau a Throseddu, 2019). Dangosodd meta-ddadansoddiadau a oedd yn ymchwilio i effaith defnyddio canabis yn gyson effeithiau andwyol canabis arcofperfformiad (ar wahân i sawl effaith arall ar ymddygiad, gweler (Grant et al., 2003; Ranganathan & D'Souza, 2006; Schoeler a Bhattacharyya, 2013; Schoeler et al., 2016; Solowij a Battisti, 2008)). Yn benodol, effeithiau andwyol bach- (Grant et al., 2003; Schoeler et al., 2016) i ganolig ar lafar.cofperfformiad (Schreiner a Dunn, 2012), ac effeithiau canolig ar y darparcof(Schoeler et al., 2016) eu hadrodd. Mae'n hysbys bod prif gyfansoddyn canabis, Δ-9-Tetrahydrocannabinol (THC), yn seicoweithredol ac yn ôl pob tebyg yn gyfrifol am effeithiau andwyol canabis ar wybyddiaeth (Schoeler et al., 2016). Mae Cannabidiol (CBD), cyfansoddyn arall o ganabis, yn gweithredu'n groes i THC mewn sawl ffordd. Nid yw CBD yn seicoweithredol ac mae ganddo briodweddau gwrthseicotig, ancsiolytig, gwrth-atafaelu a gwrthlidiol (Rong et al., 2017). Ar ben hynny, dangoswyd yn arbrofol bod CBD yn atal symptomau paranoid a achosir gan THC (Bhattacharyya et al., 2010; ond gweler hefyd: Morgan et al., 2018). Tra bod THC yn weithydd rhannol CB1R a CB2R (Pertwee, 2008), mae'n ymddangos bod CBD yn gweithredu fel antagonist anghystadleuol ar CB1Rs yn ogystal ag agonydd gwrthdro ar CB2Rs ac yn atal ail-dderbyn a diraddio enzymatig yr anandaminoid cannabinoid mewndarddol (Narachamineylonoid; AEA) (am drosolwg gweler: Rong et al., 2017). Mae nifer o dargedau nad ydynt yn CB1R wedi'u cynnig ar gyfer CBD hefyd, gan gynnwys y derbynyddion serotonin 1A (5-HT1A), sigma (σ) a mu (μ) derbynyddion opioid, derbynnydd vanilloid 1 (TRPV1), derbynyddion dopamin D2, a hydrolase asid brasterog amid (FAAH) (am drosolwg gweler: Jacobson et al., 2019). Oherwydd effeithiau andwyol tybiedig THC ar wybyddiaeth, ymchwiliodd sawl astudiaeth i weld a allai CBD wrthweithio'r effeithiau andwyol hyn. Gwrthweithio CBD yn dibynnu ar hippocampuscofnam pan gaiff ei roi cyn THC mewnwythiennol (Englund et al., 2013). Dangosodd THC a CBD hefyd effeithiau cyferbyniol o'i gymharu â plasebo ar actifadu'r ymennydd yn ystod tasgau gwybyddol, ond nid ar lefel ymddygiadol (Bhattacharyya et al., 2010). Ar ben hynny, dangosodd astudiaethau naturiolaiddcofnam i'w wanhau mewn pynciau sy'n ysmygu canabis gyda llawer iawn o ganabis, yn hytrach na symiau isel ((Morgan et al., 2012; Morgan et al., 2010); ond gweler hefyd (Morgan et al., 2018)). Canfu astudiaeth glinigol label agored effeithiau addawol triniaeth CBD hirfaith ar symptomau seicolegol a gwybyddiaeth mewn defnyddwyr canabis rheolaidd, wrth iddynt barhau i ddefnyddio canabis fel arfer (Solowij et al., 2018). Hefyd, canfu astudiaethau anifeiliaid effeithiau buddiol gweinyddiaeth CBD ar ganlyniadau gwybyddol. Fe wnaeth gweinyddiaeth gronig o CBD leihau diffygion cymdeithasol a gwybyddol mewn modelau llygod mawr sgitsoffrenia (Osborne et al., 2017a), a gwellodd CBD wybyddiaeth mewn modelau cyn-glinigol lluosog o nam gwybyddol (Osborne et al., 2017b). Fodd bynnag, ni wnaeth CBD wella adalw rhyddiaith yn ystod ymataliad tybaco (Hindocha et al., 2015), nac adalw rhyddiaith ymhlith defnyddwyr canabis (Morgan et al., 2018), nac atgof llafar mewn pynciau iach (Bhattacharyya et al., 2009) , neu gleifion â seicosis (Bhattacharyya et al., 2018; O'Neill et al., 2021). Mewn astudiaethau diogelwch, ni chanfuwyd unrhyw newid gwybyddol ar ôl blwyddyn o driniaeth CBD (Martin et al., 2019) neu dri mis o driniaeth mewn cleifion epilepsi sy'n gwrthsefyll triniaeth (Metternich et al., 2021), nac ar ôl un weinyddiaeth o CBD mewn poblogaeth hynod sensitif o ddefnyddwyr aml-gyffuriau o gymharu â rheolaeth (Schoedel et al., 2018). O ystyried y dystiolaeth amwys ar gyfer effeithiau pro-wybyddol CBD, roeddem yn anelu at ymchwilio i effaith CBD ar berfformiad cof episodig mewn bodau dynol ifanc iach yn yr hap-dreial dwbl-ddall, a reolir gan placebo, presennol. Efallai y bydd gan y canlyniadau oblygiadau ar gyfer trin episodigcofdiffygion, sydd nid yn unig yn nodweddion Clefyd Alzheimer ond sydd hefyd yn gyffredin mewn llawer o anhwylderau seiciatrig fel sgitsoffrenia (Barch, 2005), anhwylderau deubegwn (Balanza- Martinez et al., 2008), neu anhwylderau straen wedi trawma (DJ de Quervain a Margraf, 2008). Ar ben hynny, mae pynciau dan straen a blinder sy'n gysylltiedig â straen yn dangos episodigcofdiffygion (D. de Quervain et al., 2017). Yn bwysig, rydym yn dal i fod yn brin o gyffuriau effeithiol i atal episodigcofdiffygion mewn cyflyrau niwroseiciatrig.
budd cistanche: gwella cof
2. Dulliau
2.1. Astudio dylunio a chyfranogwyr
Fe wnaethom berfformio treial traws-drosodd dwbl-ddall, a reolir gan placebo, ar hap yn cymharu effaith anweddu cannabidiol (CBD) e-hylif (0.25 ml, 5 y cant CBD, 12.5 mg CBD) ag anweddu plasebo e. -hylif. Fe wnaethom recriwtio cyfranogwyr iach o ardaloedd Basel, Zurich, a Bern yn y Swistir trwy hysbysebion Rhyngrwyd. Aeth 34 o gyfranogwyr i mewn i'r dadansoddiadau terfynol. Cynhaliwyd yr arbrawf ym Mhrifysgol Basel. Er mwyn bodloni’r meini prawf cynhwysiant, roedd yn rhaid i gyfranogwyr fod rhwng 18 a 30 oed, bod â mynegai màs y corff (BMI) rhwng 18 a 30 kg/m2, bod yn frodorol neu’n rhugl yn Almaeneg, a normotensive (pwysedd gwaed rhwng 90/60). mmHg a 140/90 mmHg). Meini prawf gwahardd oedd un neu fwy o’r cyflyrau canlynol fel yr aseswyd gyda holiadur iechyd hunan-adrodd: anhwylderau seiciatrig neu somatig acíwt neu gronig, meddyginiaeth systemig hirdymor neu steroidau argroenol i drin clefyd gwaelodol o fewn y 3 mis diwethaf, gorsensitifrwydd hysbys neu alergedd. i propylen glycol, defnydd o sylweddau (ysmygu > 5 sigarét y dydd, cymeriant CBD/THC o fewn 7 diwrnod i'r astudiaeth bresennol, cymeriant alcohol 12 h cyn dechrau'r ymweliadau astudio, amheuaeth o gamddefnyddio alcohol neu gyffuriau), cymryd rhan mewn astudiaeth gyda CBD/THC o fewn 30 diwrnod i'r astudiaeth bresennol, cymryd rhan yn un o astudiaethau blaenorol yr adran gan ddefnyddio'r un prawf llafar yn ystod y 2 flynedd ddiwethaf, bod ag unrhyw gysylltiadau personol â'r ymchwilydd, anallu i ddilyn gweithdrefnau'r astudiaeth, a'r bwriad i ddod yn feichiog, beichiogrwydd neu fwydo ar y fron. Cafodd yr ymchwiliad ei gynnal yn dilyn y fersiwn diweddaraf o Ddatganiad Helsinki. Cymeradwyodd y pwyllgor moeseg lleol yr astudiaeth (rhif cofrestru: EKNZ, 2018-01125), a chofrestrwyd yr astudiaeth gyda ClinicalTrials.gov (NCT03627117) a kofam.ch (SNCTP000002921). Darparodd yr holl gyfranogwyr ganiatâd gwybodus ysgrifenedig a chawsant iawndal o CHF 70 am eu cyfranogiad.
2.2. Ar hap a masgio
Ar ôl cynnwys yr astudiaeth, dyrannwyd cyfranogwyr ar hap i dderbyn naill ai CBD neu blasebo (e-hylif persawrus) yn gyntaf. Dyrannwyd pob cyfranogwr cymwys i un o'r ddwy restr ar hap (un rhestr ar gyfer gwrywod, un rhestr ar gyfer menywod) trwy ddefnyddio hapiwr bloc (pob bloc o 4 yn cynnwys dau blasebo a dau gyflwr CBD). Cafodd e-hylif CBD ac e-hylif persawrus eu llenwi mewn tanciau anweddu a oedd yn edrych yn union yr un fath a'u labelu â rhif ar hap. Ar ben hynny, cafodd y tanciau anweddu eu lapio â thâp lliw i orchuddio lliw e-hylif. Roedd gan y ddau vapes (CBD, plasebo) flas ffrwythau sitrws. Cynhyrchodd y prif ystadegydd restrau hap-gyfrifiadurol a labelu'r tanciau anweddu, na chasglodd ddata. Cafodd cyfranogwyr ac aelodau astudiaeth casglwr data eu dallu i'r grŵp triniaeth. Anweddodd y cyfranogwyr o dan oruchwyliaeth y casglwr data ar falconi tawel er mwyn osgoi halogi'r aer yn yr ystafell arholiad ag anweddau CBD.
2.3. Gweithdrefnau
Cynhaliwyd yr astudiaeth ar ddau ddiwrnod astudio ym Mhrifysgol Basel, Basel, y Swistir o fis Medi i fis Rhagfyr 2018. Ar ôl i gyfranogwr posibl gysylltu â thîm yr astudiaeth, anfonwyd gwybodaeth fanylach am yr astudiaeth trwy e-bost ynghyd â'r prif gynhwysiant a meini prawf gwahardd. Wedi hynny, cynhaliwyd sgrinio dros y ffôn i rag-asesu meini prawf cynhwysiant a gwahardd a threfnu cyfranogwyr cymwys ar gyfer yr astudiaeth. Yn y sgrinio dros y ffôn, gwnaethom ofyn nid yn unig am ddefnyddio meddyginiaethau (rhagnodedig a hunan-brynu) yn ystod y tri mis diwethaf ond hefyd am ddefnyddio unrhyw feddyginiaeth (rhagnodedig a hunan-brynu) ar adeg y sgrinio. Ni nododd yr un o'r cyfranogwyr eu bod wedi defnyddio unrhyw feddyginiaeth ar adeg y sgrinio nac o fewn y 3 mis diwethaf. Yn ystod rhan gyntaf ymweliad 1, rhoddwyd gwybodaeth eto i'r cyfranogwr am nod a gweithdrefn yr astudiaeth, y cyffur dan sylw, a risgiau posibl (ar lafar ac yn ysgrifenedig). Wedi hynny, cafwyd caniatâd gwybodus ysgrifenedig gan yr holl gyfranogwyr heb gyfyngiad amser. Yna, gwiriwyd meini prawf cynhwysiant a gwahardd trwy asesu hanes meddygol, arwyddion hanfodol (pwysedd gwaed a chyfradd curiad y galon), a'r BMI, yn ogystal â thrwy gymhwyso holiadur cymdeithasol-ddemograffig ac iechyd meddwl, a holiadur hunan-sgorio yn asesu symptomau iselder (MADRS). -S) (Svanborg ac Asberg, 2001). Defnyddiwyd y meddalwedd SoSci Survey ar gyfer asesu holiaduron (Leiner, 2014). Gan y gallai cyfranogwyr benywaidd yn unig sicrhau nad ydynt yn feichiog, ni chynhaliwyd unrhyw brofion beichiogrwydd. Cyn asesu'r mesurau canlyniad, cynhaliwyd prawf THC wrin gyda sensitifrwydd o 50 ng/ml i eithrio defnydd THC dri i bum diwrnod cyn dechrau'r astudiaeth. At hynny, holwyd y cyfranogwyr am hyd cwsg, cymeriant cyffuriau seicoweithredol, ac yfed alcohol y diwrnod cyn yr ymweliad. Dysgu ôl-air ac adalw ar unwaith, pynciau yn anwedd am tua 15 munud o dan oruchwyliaeth. Yna, cafodd y cyfranogwyr eu cyfarwyddo a'u hyfforddi ar dasg n-ôl. Ailadroddwyd yr hyfforddiant unwaith os, ar gyfer pwnc penodol, roedd y gyfradd ymateb gywir yn is na 90 y cant yn y 0-yn ôl ac yn is na 70 y cant yn y 2-dasg hyfforddi cefn, yn y drefn honno. Dilynwyd hyn gan y brif dasg 'n-back', sef asesu sylw a gweithiocof. Yn dilyn hynny, roedd yn rhaid i bynciau nodi ar raddfeydd analog gweledol (VAS) eu cyflwr presennol o ymlacio, blinder, cymhelliant a hwyliau, yn ogystal ag a oedd ganddynt unrhyw gur pen a pha mor dda yr oeddent yn goddef yr anwedd. Ugain munud ar ôl dysgu, cynhaliwyd prawf adalw geiriau i asesu episodigcofperfformiad. Ar ôl cyfnod golchi allan o o leiaf 14 diwrnod (tua 10 hanner oes CBD (Ujvary a Hanus, 2016)), ond heb fod yn hwy na 39 diwrnod (cyfnod golchi allan cymedrig 17.85 diwrnod, SD=6. 11), gwahoddwyd y cyfranogwyr i ymweld â 2. Yno, cawsant y driniaeth (CBD neu blasebo) ategol i'r un o'r ymweliad cyntaf. Ar ymweliad 2, cofnodwyd digwyddiadau andwyol a meddyginiaeth gydredol hefyd, gyda'r weithdrefn fel arall yn union yr un fath ag ymweliad 1.
2.4. Canlyniadau
Y prif fesur canlyniad oedd oedi wrth alw i gof yn rhydd mewn tasg dysgu llafar. Yn y dasg hon, edrychodd y cyfranogwyr a chawsant gyfarwyddyd i ddysgu tair cyfres o bum enw Almaeneg nad oeddent yn perthyn yn semantig a gyflwynir ar gyfradd o un gair bob 2 eiliad (cyfanswm o 15 gair). Dilynwyd pob cyfres o bum enw gan dasg adalw ar unwaith i reoli a oedd cyfranogwyr yn talu sylw i gyflwyniad geiriau. Digwyddodd adalw ar unwaith cyn meddyginiaeth astudio ac felly ni fydd yn cael ei drin fel mesur canlyniad sylfaenol. 20 munud ar ôl y dasg dysgu geiriau, gofynnwyd i'r cyfranogwyr mewn tasg a ddisgwylir yn galw i gof ysgrifennu'r holl eiriau a gofiwyd o'r ymweliad penodol. Cymerwyd y geiriau o gasgliadau Hager a Hasselhorn (1994). Ein dau fesur canlyniad eilaidd oedd sylw (0-yn ôl) a gweithiocof({0}}yn ôl) perfformiadau a chawsant eu profi i reoli effeithiau posibl CBD ar swyddogaethau gwybyddol nad ydynt yn gysylltiedig ag episodigcof. Cawsant eu hasesu gan ddwy dasg darluniadol n-cefn gyda llwythi gwybyddol gwahanol (llwyth isel: 0-yn ôl; llwyth uchel: 2-yn ôl) gan ddefnyddio lluniau niwtral. Yn ystod 0-cyflwr cefn, roedd angen i'r pynciau ymateb cyn gynted â phosibl i'r ffaith bod llun targed yn digwydd. Mae'r cyflwr cefn 0-yn achosi llwyth gwybyddol isel yn unig ac mae i fod i fod angen prosesau sylw cyffredinol yn bennaf (Owen et al., 2005). Yn y 2-cyflwr cefn, roedd yn rhaid i'r pynciau farnu a oedd y llun a gyflwynwyd ar hyn o bryd yn union yr un fath â'r un a gyflwynwyd mewn dwy safle o'r blaen. Mae'r cyflwr cefn 2- yn achosi llwyth gwybyddol uchel ac fe'i gwasanaethir i asesu gweithiocofperfformiad oherwydd y gofyniad i fonitro, diweddaru a thrin gwybodaeth a gofiwyd ar-lein (Owen et al., 2005). Yn gyfan gwbl, roedd y dasg yn cynnwys 6 bloc (tri bloc fesul amod), wedi'u cyflwyno mewn trefn lled-hap. Ym mhob bloc, cyflwynwyd pedwar llun gwahanol ar hap wyth gwaith, gan arwain at gyfanswm o 32 llun wedi'u cyflwyno fesul bloc. Roedd pob bloc yn cynnwys wyth ysgogiad targed a phedwar ysgogiad ar hugain nad oeddent yn darged, gan arwain at gyfradd darged o 25 y cant . Roedd yn rhaid i bynciau ymateb i'r targedau hyn cyn gynted â phosibl. Dewiswyd yr holl luniau a ddefnyddiwyd ar gyfer y dasg n-cefn o System Llun Affeithiol Genefa (GAPED; Dan-Glauser a Scherer, 2011), y System Llun Affeithiol Rhyngwladol (IAPS; Lang et al., 2008), neu wedi'i safoni'n fewnol setiau lluniau. Roedd pob llun yn cynnwys gwrthrychau difywyd sengl, niwtral (ee cadeiriau, clociau, neu fyrddau). Aseswyd canlyniadau rheoli gan ddefnyddio graddfeydd VAS, yn amrywio o 0 (lefel isaf i 10 (lefel uchaf)) Asesodd VAS ymlacio, blinder, cymhelliant, hwyliau, cur pen, a goddefgarwch anwedd. Cyflwynwyd yr holl dasgau gan ddefnyddio meddalwedd Presentation® (fersiwn 20.1; Systemau Neurobehavioral, Inc., Berkeley, CA, www. ne urobs.com).

MANTEISION CISTANCHE: GWELLA'R COF
2.5. Ymyrraeth
Roedd yr ymyriad arbrofol yn cynnwys {{0}}.25 ml o CBD e-Hylif sy'n cynnwys 5 y cant CBD (Cannabidiol wedi'i dynnu o dymheredd isel o Cannabis sativa L., purdeb 99 y cant), Glyserin (llysiau), Propylene Glycol , a dŵr (brand: PharmaHemp, Slofenia) gyda blas ffrwythau sitrws. Roedd yr ymyriad rheoli yn cynnwys 0.25 ml o e-Liquid (La Baronne Jaune) yn cynnwys: Ychwanegion persawr bwyd, 80 y cant Glyserin (llysiau), 20 y cant Propylene Glycol. Roedd gan yr ymyriad rheoli flas lemwn a madeleines. Cynhaliwyd anweddu trwy ddefnyddio anweddydd (Canna Vape Kit). Dewiswyd anweddu fel dull ar gyfer gweinyddu oherwydd y cyfraddau amsugno cyflymach o'i gymharu â gweinyddiaeth lafar (Millar, Stone, Yates, ac O'Sullivan, 2018). Fe wnaethom ddewis e-hylif CBD gyda chrynodiad o 5 y cant, gan mai dyma'r crynodiad uchaf y gellid ei brynu'n rhanbarthol. Dewiswyd 0.25 ml, gan fod hwn yn swm y gall y rhan fwyaf o ysmygwyr ei anweddu mewn 15 munud. Nid oedd anweddu am fwy na 15 munud yn cael ei ystyried yn ymarferol. Arweiniodd hyn at ddos o 12.5 mg.
2.6. Dadansoddiadau ystadegol
Amcangyfrifodd dadansoddiad pŵer maint sampl o 34 (profion t dibynnol, DZ 0.5, pŵer 0.8, meddalwedd: G*Power 3.1). Perfformiwyd yr holl ddadansoddiadau ystadegol yn R (fersiwn 3.6.2) trwy ddefnyddio modelau cymysg llinol ar y cyd ag ANOVA (SS-II). Cynhwyswyd IDau Pwnc fel effeithiau ar hap. Newidynnau dibynnol oedd ein mesurau canlyniad cynradd ac eilaidd. Y newidyn annibynnol oedd y cyflwr ffactor o fewn y pwnc (CBD neu blasebo). Cofnodwyd rhyw ac oedran fel covariates. Rydym yn cyflwyno canlyniadau fel modd (SDs) ar gyfer yr ymyrraeth a'r cyflwr rheoli, gwerthoedd p dwy ochr cysylltiedig, yn ogystal â gwahaniaethau grŵp wedi'u haddasu gyda CI 95 y cant (pecyn "modd"). Mae meintiau effaith ar gyfer mesurau ailadroddus wedi'u nodi gan R2 (R2 ) lled-rannol cyffredinol, sef cyffredinoliad o'r ystadegau ymylol R2- a ddefnyddir yn eang (Nakagawa a Schielzeth, 2013) sy'n debyg i fesurau maint effaith o ddyluniadau rhwng pynciau. R2 > 0.01, R2 > 0.09 ac R2 > 0.25 yn cael eu hystyried yn effeithiau bach, canolraddol a mawr, yn y drefn honno. Cynhaliwyd prawf union Fisher i archwilio'r cysylltiad rhwng y grŵp gorchymyn triniaeth (a dderbyniwyd CBD ar ymweliad1 neu a dderbyniwyd CBD ar ymweliad2) a chred y gwrthrych ar ba ddiwrnod i dderbyn CBD. Gosodwyd y trothwy arwyddocâd i p < .05="" ar="" gyfer="" y="" canlyniad="" cynradd.="" ar="" gyfer="" y="" canlyniadau="" eilaidd="" (sylw,="">cofperfformiad), rydym yn gosod y trothwy sylweddol i p <.025 (cywiriad="" bonferroni="" ar="" gyfer="" 2="" brawf="" annibynnol).="" ni="" fu="" unrhyw="" bwyllgor="" monitro="" data="" yn="" goruchwylio'r="" astudiaeth.="" goruchwyliodd="" monitor="" treial="" clinigol="" gasglu="" a="" chofnodi="" data="" yn="" unol="" â="" chynllun="" monitro="" ysgrifenedig,="" a="" gymeradwywyd="" gan="" y="" pwyllgor="" moeseg="" annibynnol="" cyn="" cynnal="" y="">
3. Canlyniadau
Rhwng Medi 2018 a Rhagfyr 2018, cafodd 39 o unigolion eu sgrinio ar gyfer cymryd rhan mewn treial (gweler Ffig. 1). Ni chafodd unrhyw un ei eithrio ar ôl sgrinio. O ganlyniad, cofrestrwyd 39 o unigolion a chawsant eu hapwyntio ar gyfer gorchymyn triniaeth (gweler Tabl 1 am nodweddion gwaelodlin). Dyrannwyd 20 pwnc i dderbyn CBD (cyflwr ymyrraeth), 19 i dderbyn plasebo ar ymweliad 1. Gadawodd pedwar pwnc ac ni chymerodd ran yn ymweliad 2 (y rhesymau oedd: cymeriant alcohol < 12h="" cyn="" ymweliad="" 2="" (n="1)" ),="" wedi="" gwrthod="" parhau="" i="" gymryd="" rhan="" (n="3))." aeth="" 35="" o="" bynciau="" dan="" y="" drefn="" ymweliad="" 2.="" ni="" chafodd="" un="" pwnc="" yr="" holl="" weithdrefn="" o="" ymweliad="" 2="" oherwydd="" anallu="" i="" anweddu'r="" dogn="" llawn="" yn="" yr="" amser="" a="" roddwyd.="" felly,="" roedd="" data="" cyflawn="" o="" bynciau="" 34="" ar="" gael="" a'u="" dadansoddi="" (derbyniodd="" 17="" cbd="" a="" derbyniodd="" 17="" blasebo="" ar="" ymweliad="">
3.1. Effeithiau meddyginiaeth astudio ar y mesur canlyniad sylfaenol
Ar gyfer episodigcof, wedi'i feintioli gan adalw am ddim gair fel ein canlyniad sylfaenol, roedd prif effaith sylweddol o feddyginiaeth astudio (F(1,33)=11.12, p=.048, R2=.028), sy'n nodi perfformiad gwell o dan CBD gyda maint effaith bach (gweler Tabl 2, Ffig. 2). Roedd yr effaith gyffur ychwanegol hon yn annibynnol ar ryw (rhyngweithiad rhwng rhyw a meddyginiaeth: p =.85) neu oedran (rhyngweithiad rhwng oedran a meddyginiaeth: p=.19). Er mwyn rheoli ar gyfer dryswyr posibl eraill, rydym hefyd yn cynnwys MADRS,


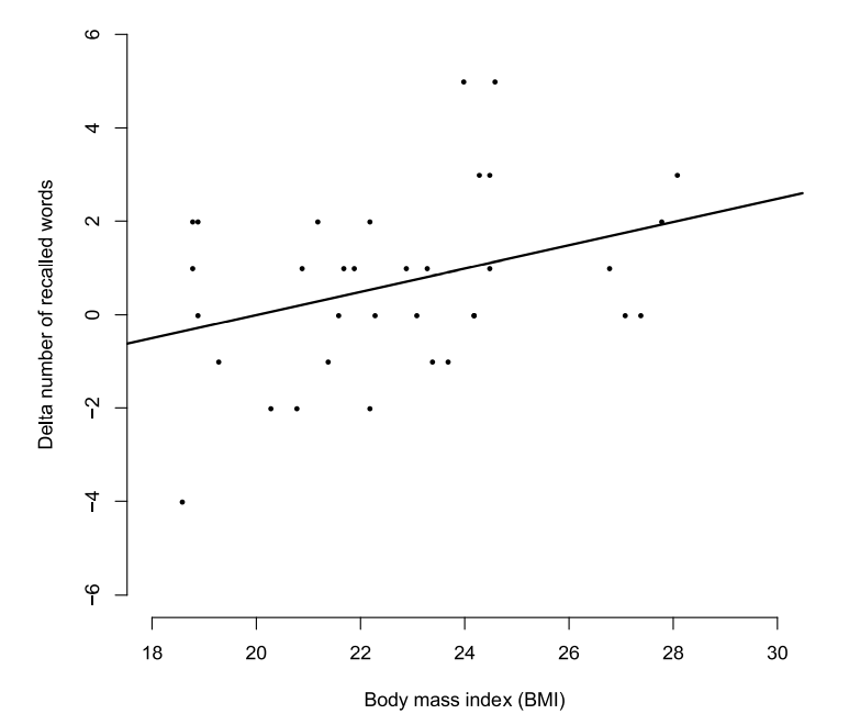
BMI, amlder y defnydd o ganabis mewn blwyddyn, a'r graddfeydd ar ôl anweddu (ymlacio, blinder, cymhelliant, hwyliau, goddefgarwch anwedd) fel covariates. Felly cafodd pob covariate ei roi ar wahân yn y model a'i brofi am ei ryngweithio â meddyginiaeth. Roedd effaith y cyffur gwella yn annibynnol ar unrhyw un o'r covariates hyn (rhyngweithiad rhwng covariates a meddyginiaeth: p > .33), ac eithrio BMI (F(1,32) =4.49, p=.042 ). Roedd y rhyngweithio rhwng BMI a chyffuriau yn ôl ar eiriau yn dangos bod gweinyddiaeth CBD yn effeithio ar adalw geiriau fel swyddogaeth BMI, hy roedd BMI uwch yn gysylltiedig â nifer uwch o eiriau a alwyd yn ôl o dan CBD o'i gymharu â phlasebo (gweler Ffig. 3). Nid oedd adalw ar unwaith cyn anwedd yn wahanol rhwng amodau
3.2. Effeithiau meddyginiaeth astudio ar fesurau canlyniad eilaidd a rheolaeth
Ar gyfer y mesurau canlyniad eilaidd asesu sylw a gweithiocof, dim effeithiau arwyddocaol meddyginiaeth ar 0-gefn (cywirdeb: F(1,33)=1.3, p=.26; dprime: F(1,33) {{9 }}.42, p=.07) neu 2-canfuwyd perfformiad cefn (cywirdeb: F(1,33)=0.05, p=.83 ;dprime: F(1,33) =0.02, p=.89, gweler Tabl 2). Nid oedd y cyfranogwyr yn wahanol o ran ymlacio, hwyliau, cur pen, cymhelliant neu flinder ar ôl anweddu CBD neu blasebo (pob > .18). Fodd bynnag, roedd effaith enwol CBD ar oddefgarwch anwedd (F(1,33)=4.5, p=.041), gan nodi goddefgarwch anwedd uwch yn y cyflwr plasebo (gweler Tabl 2) . Ni chafwyd unrhyw ddigwyddiad andwyol difrifol. Adroddwyd am un digwyddiad andwyol ysgafn mewn un cyfranogwr (2.6 y cant) o dan ddylanwad CBD (cur pen), ac adroddwyd am un digwyddiad andwyol ysgafn mewn un cyfranogwr (2.8 y cant) o dan ddylanwad plasebo (poen yn yr abdomen). Ar ben hynny, nid oedd unrhyw gysylltiad rhwng y gorchymyn triniaeth a chred y pynciau ynghylch pryd i fod wedi derbyn CBD (χ2 (2) =0.55, p=.81).

4. Trafodaeth
Yma, fe wnaethom ymchwilio i effeithiau acíwt anweddu CBD (12.5 mg) ar episodigcofperfformiad mewn pynciau ifanc iach. Datgelodd yr astudiaeth bresennol gynnydd cyfartalog o eiriau a adalwyd 20 munud ar ôl anweddu CBD o gymharu â chyflwr plasebo 10 y cant. Yn bwysig, ni wnaethom ganfod effeithiau meddyginiaeth ar sylw neu berfformiad cof gweithio, gan awgrymu nad yw CBD yn cael unrhyw effaith negyddol ar y swyddogaethau gwybyddol sylfaenol hyn. Mae hyn yn unol â dwy astudiaeth arall, na adroddodd effeithiau CBD ar weithiocofperfformiad trwy ddefnyddio 15 mg o CBD mewn defnyddwyr canabis (Morgan et al., 2018) neu 800 mg o CBD yn ystod ymatal rhag tybaco (Hindocha et al., 2015). Roedd effaith CBD ar gof episodig yn annibynnol ar oedran, rhyw, symptomau iselder, amlder y defnydd o ganabis mewn blwyddyn, a'r graddfeydd ar ôl anweddu (ymlacio, blinder, cymhelliant, hwyliau, goddefgarwch). Fodd bynnag, nid oedd yr effaith yn annibynnol ar BMI. Mae'r rhyngweithio rhwng BMI a chyffuriau'n awgrymu y gallai'r dos ar gyfer pynciau â BMI is fod wedi bod yn rhy uchel i gynydducof. Oherwydd gwahaniaethau bio-argaeledd rhwng gwahanol fathau o weinyddiaeth CBD (Millar et al., 2018), ni allwn gymharu ein dosau â dosau o astudiaethau a ddefnyddiodd wahanol ddulliau gweinyddu i amcangyfrif y berthynas ymateb dos orau. Ymhellach, gall y berthynas rhwng dos CBD ac effaith ar gof episodig hefyd ddilyn cromlin siâp U-wrthdro yn hytrach na pherthynas linellol, sy'n debyg i effeithiau ymateb dos siâp U gwrthdro CBD ar bryder (Crippa et al., 2018). Canfu un astudiaeth gan ddefnyddio gweinyddiaeth lafar o 600 mg CBD effeithiau ar actifadu'r ymennydd (Bhattacharyya et al., 2010), ond nid ar berfformiad cof, neu pan roddir dosau yn fwy na neu'n hafal i 750 mg (Schoedel et al., 2018). Roedd astudiaethau eraill yn cyfuno gweinyddu CBD â THC. Roedd 600 mg o CBD llafar yn gwrthweithio nam ar y cof sy'n dibynnu ar hippocampus

Ffig. 2. Effaith CBD ar berfformiad cof episodig (oedi byr). Mae dotiau bach yn cynrychioli gwerthoedd unigol; mae'r dot mawr yn cynrychioli ystyr y grŵp. A: Mae'r plot bocs yn dangos nifer y geiriau a adalwyd yn ystod oedi wrth alw'n ôl am ddim ym mhob cyflwr. B: Mae'r plot bocs yn dangos y sgôr gwahaniaeth (delta) trwy dynnu nifer y geiriau a adalwyd yn rhydd yn ystod CBD yn ôl nifer y geiriau a adalwyd yn rhydd yn ystod plasebo.

Ffig. 3. Effaith triniaeth ar episodigcofyn ystod oedi wrth alw'n ôl am ddim fel swyddogaeth mynegai màs y corff (BMI). Mae gwerthoedd cadarnhaol ar yr echelin-y yn cynrychioli mwy o eiriau a adalwyd yn ystod CBD o gymharu â plasebo.
pan gaiff ei weinyddu cyn THC mewnwythiennol (Englund et al., 2013), ond nid 5 mg o IV CBD yn union cyn IV THC (1.25 mg) (Bhattacharyya et al., 2010), neu gyd-weinyddu 16 mg CBD ynghyd â 8 mg o THC a weinyddir gan anadliad (Morgan et al., 2018). Fodd bynnag, dangosodd 200 mg o CBD llafar dros 10 wythnos welliannau gwybyddol o'i gymharu â'r llinell sylfaen mewn defnyddwyr canabis rheolaidd, wrth iddynt barhau i ddefnyddio canabis fel arfer (Solowij et al., 2018). Ni chanfu astudiaethau eraill newidiadau gwybyddol o gymharu â'r llinell sylfaen ar ôl tri mis (Metternich et al., 2021) neu flwyddyn (Martin et al., 2019) o weinyddiaeth CBD mewn cleifion epilepsi sy'n gwrthsefyll triniaeth. Hoffem bwysleisio ein bod wedi asesu effeithiau acíwt CBD ar episodigcof20 munud ar ôl amgodio, gan atal unrhyw gasgliadau am effeithiau CBD ar gyfuno cof. Felly, ar wahân i'r berthynas ymateb dos anhysbys ac na ellir cyffredinoli'r canlyniadau i fathau eraill o weinyddiaeth CBD, mae angen astudiaethau pellach i ymchwilio i effeithiau ynysig CBD ar y gwahanol fathau o CBD.cofcyfnodau cydgrynhoi ac adalw. Mae ein casgliadau yn seiliedig ar un defnydd o e-hylif CBD. Nid yw'n glir a fyddai rhoi CBD dro ar ôl tro yn arwain at effeithiau tebyg. Dylid ymchwilio i hyn mewn astudiaethau pellach mewn pynciau iach a chleifion niwroseiciatrig â diffygion cof ysbeidiol. Dylid nodi cyfyngiadau pellach. Ni wnaethom asesu unrhyw fesur o bryder. O ystyried y credir bod gan CBD effeithiau gorbryder cryf (Rong et al., 2017), gallai hyn fod yn ddryslyd i'r canlyniadau, er nad oedd y gosodiad arbrofol a'r tasgau yn cynnwys unrhyw elfennau sy'n achosi ofn. Ar ben hynny, dim ond y pynciau a gyfarwyddwyd gennym i beidio â defnyddio unrhyw gyffuriau anghyfreithlon neu CBD yn ystod cyfnod yr astudiaeth ond ni wnaethom gynnal unrhyw brofion labordy arnynt. At hynny, roedd statws iechyd yn seiliedig ar hunan-ddatganiad fel yr aseswyd gyda holiadur iechyd ac nid oedd yn seiliedig ar gyfweliad clinigol neu strwythuredig i ddiystyru salwch meddwl. Nid yw CBD yn seicoweithredol ac yn hawdd ei gymhwyso. Felly, gallai CBD fod yn ddefnyddiol i wella namau cof sy'n gysylltiedig â chlefydau sy'n bresennol mewn anhwylderau seiciatrig (er enghraifft Balanza-Martinez et al., 2008), anhwylderau niwroddirywiol (fel clefyd Alzheimer (Gold a Budson, 2008)), yn ogystal â straen a blinder sy'n gysylltiedig â straen sy'n gysylltiedig ag episodigcofdiffygion (D. de Quervain et al., 2017). I gloi, er bod angen ymchwil pellach i nodi perthnasoedd dos-ymateb ac ymateb amser, mae ein canlyniadau'n dangos y gall CBD wella cof ysbeidiol, effaith cyffuriau â photensial therapiwtig posibl. Cyfraniadau awdur Janine Hotz: Cysyniadoli, Methodoleg, Ymchwilio, Gweinyddu'r prosiect Bernhard Fehlmann: Dilysu Andreas Papas Sotiropoulos: Goruchwyliaeth, Ariannu, Adnoddau Dominique JF de Quervain: Goruchwyliaeth, Ariannu, Adnoddau Nathalie S Schicktanz: Dadansoddiad ffurfiol, Curadu data, Ysgrifennu - drafft gwreiddiol paratoi, Delweddu Pob awdur: Ysgrifennu – Adolygu a Golygu. Datgan buddiannau Nid yw pob awdur yn datgan unrhyw wrthdaro buddiannau. Ariannu Ariannwyd yr astudiaeth gan y Platfform Ymchwil Trawsgyfadran Niwrowyddoniaeth Foleciwlaidd a Gwybyddol Prifysgol Basel, y Swistir. Roedd gan bob awdur fynediad llawn i'r holl ddata yn yr astudiaeth ac roedd ganddynt gyfrifoldeb terfynol am y penderfyniad i gyflwyno i'w gyhoeddi.

Effeithiau atodiad cistanche: Ar gyfer gwella cof
Rhannu data
Bydd data dienw ar gyfranogwyr sy'n sail i'r canlyniadau a adroddir yn yr erthygl hon ar gael i ymchwilwyr ar gyfer astudiaethau sydd wedi derbyn cymeradwyaeth gan bwyllgorau ymchwil annibynnol neu fyrddau moeseg ymchwil. Mae data ar gael o ddyddiad cyhoeddi'r erthygl hon ymlaen. Dylid anfon cynigion astudio a cheisiadau mynediad at ddata at yr Athro Dr, Dominique de Quervain Dominique.dequervain@unibas.ch. Mae angen cwblhau cytundebau rhannu data rhwng y ceiswyr a'r noddwr-ymchwilwyr cyn cyrchu'r data. Mae protocol Astudiaeth Gymeradwy gan y pwyllgor moeseg lleol ar gael ar clinical rials.gov (NCTO3627117).
Cyfeiriadau
Balanza-Martinez, V., Rubio, C, Selva-Vera, G., Martine-Aran, A., Sanche-Moreno, J, Salazar-Fraile. J, Tabares-Seisdedos, R,2008. Endophenoteipiau niwrowybyddol (endophenocognitypes) o astudiaethau o berthnasau o bynciau anhwylder deubegwn: adolygiad systematig.S0149-7634(08)00089-4 Neurosci.Biobehav.Rev.32(8), 1426-1438.htps ://doi.org/10.1016/neubiorev.2008.05.019 [pi.
Barch, DM, 2005. Niwrowyddoniaeth wybyddol sgitsoffrenia. Annu.Parch. Clin. Seicoleg. 1,321-353.htps://dol.org/10.1146/annurev.cinpsv.1.102803.143959. Bhattacharyya, S., Fusar-Poli, P. Borgwardt, S., Martin-Santos, R., Nosarti, C.
O'Carroll, C., MeGuire, P., 2009. Modiwleiddio swyddogaeth ganoloesol ac intrastriatal mewn bodau dynol gan Delta9-tetrahydrocannabinol: sail niwral ar gyfer effeithiau Cannabis sativa ar ddysgu a seicosis.Arch. Seiciatr.66(4),442-451. https://doi.org/10.1001/archgenpsychiatry.2009.17.
Bhattacharyya, S., Morrison, PD, Fusar-Poli, P., Martin-Santos, R., Borgwardt, S., Winton-Brown, T., McGuire, PK, 2010. Effeithiau cyferbyniol delta-9-tetrahydrocannabinol a chanabidiol ar weithrediad ymennydd dynol a
seicopatholeg. Neuropsychopharmacology 35(3), 764-774.https:/dolorg/10.1038/npp.2009.184.
Bhattacharya, S., Wilson, R, Appiah-Kusi, E, O'Neill, A, Brammer, M., Perez, J, McGuire, P., 20 18. Effaith cannabidiol ar gamweithrediad amserol, canol yr ymennydd, a striatal mewn pobl sydd â risg glinigol uchel o seicosis: treial clinigol ar hap. Seiciatreg JAMA 75 (11),1107-1117.https://dol.org/l0.1001/amapsychiatry.2018.2309.
Crippa, JA, Guimaraes, FS, Campos, AC., Zuardi, AW, 2018. Ymchwiliad trosiannol i botensial therapiwtig cannabidiol (CBD): tuag at oes newydd, 2009 Blaen. Imiwnol. 9. https://doi.org/10.3389/fimmu.2018.02009 .
Dan-Glauser,ES., Scherer,KR.,2011.Cronfa ddata lluniau affeithiol Genefa (GAPED): cronfa ddata 730-luniau newydd yn canolbwyntio ar falens ac arwyddocâd normadol. Bihav. Res. Dulliau 43 [(2),468-477.https://dol.org/10.3758/s13428-011-0064-1.
de Quervain.D.Schwabe.L.Rozendaal.B.2017.Goblygiadau straen, glucocorticoidau a chof ar gyfer trin anhwylderau sy'n gysylltiedig ag ofn. Nat. Parch Neurosi.18 (1),7-19. https://doi.org/10.1038/nrn.2016.155.de Quervain,DJ,Margraf, J.,2008.Glucocorticoids ar gyfer trin anhwylder straen wedi trawma a ffobiâu: dull therapiwtig newydd.Eur. J.Pharmacol.583 (2-3), 365-371.https:/dol.org/10.1016/.ephar.2007.11.068.
Englund, A, Morrison, PD, Nottage, J., Hague, D., Kane, F., Bonaccorso, S., Kapur, S, 2013. Mae cannabidiol yn atal symptomau paranoid a achosir gan THC ac yn ddibynnol ar hippocampalcofnam J.Seicopharmacol. 27(1),19-27.https//dol. org/10.1177/0269881112460109.
Aur, CA, Budson, AE, 2008.Cofcolled mewn clefyd Alzheimer: goblygiadau ar gyfer datblygiad therapiwteg. Arbenigwr Rev.Neurother.8(12),1879-1891.https://dol org/10.1586/14737175.8.12.1879.
Grant, I.Gonzalez, R., Carey, CL, Natarajan, L, Wolfson, T.2003. Non-aciwt (effeithiau niwrowybyddol gweddilliol defnyddio canabis: astudiaeth feta-ddadansoddol. J. Int. Neuropsychol. Soc.9( 5),679-689.https://dol.org/10.1017/S1355617703950016.
Hager. W.Hasselhom. M.1994. Handbuch Deutschsprachiger Wortnormen, Hoegrefe, Gottngen.
Hindocha, C, Freeman, TP, Schafer, G, Garddwr, C., Das, RK, Morgan, CJ.Curran, HV, 2015. Effeithiau llym delta-9-tetrahydrocannabinol, cannabidiol a'u cyfuniad ar adnabod emosiwn wynebol: astudiaeth ar hap, dwbl-ddall, a reolir gan blasebo o ddefnyddwyr canabis. Eur. Neuropsychopharmacol 25(3), 325-334.https://dol.org/10.1016/j.euroneuro.2014.11.014.
Jacobson, MR, Watts, JJ, Boileau, I., Tong, J, Mizrahi, R.,20 19.Adolygiad systematig o amlygiad ffytocannabinoid ar y system endocannabinoid: goblygiadau ar gyfer seicosis. Eur. Neuropsychopharmacol 29 (3),330-348.https://dol.0rg/10.1016/. ewros.2018.12.014.
2021. Effeithiau gwybyddol ac ymddygiadol cannabidiol mewn cleifion ag epilepsi sy'n gwrthsefyll triniaeth.Epilepsy Behav.114(Pt A), 107558.https://doi.org/10.1016/. yebeh.2020.107558.
Millar, SA, Stone, NL, Yates, AS, O'Sullivan, SE2018.Adolygiad systematig ar ffarmacocineteg canabidiol mewn pobl. Blaen.Pharmacol.9.ARTN 136510.3389/fphar.2018.01365.
Morgan, CJ.A, Rhyddfreiniwr, TP, Hindocha, C., Schafer, G. Gardner, C, Curran, HV,
2018.Effeithiau unigol a chyfunol delta acíwt-9-tetrahydrocannabinol a chanabidiol ar symptomau seicotometig a swyddogaeth cof.Transl. Seiciatreg 8.ARTN 18110.1038/s41398-018-0191-x.
Morgan, CJ.A, Garddwr, C., Schafer, G., Alarch, S., Demarchi, C, Rhyddfreiniwr, TP
Curran, HV, 2012. Effaith is-gronig cannabinoidau mewn canabis stryd ar wybyddiaeth, symptomau tebyg i seicotig, a lles seicolegol. Psychol.Med.42 (2), 391-400.https.://doi.org/10.1017/S0033291711001322.
Morgan,CJA,Schafer,G.Freeman, TPQurran,HV,2010.Effaith cannabidiol ar yr aciwtcofac effeithiau seicotomimetig canabis mwg: astudiaeth naturiolaidd: astudiaeth naturiolaidd [cywiro].Br.J.Psychiatry 197(4), 285-290.https//dol org/10.1192/bip.bp.110.077503.
Nakagawa,S.,Schielzeth,H,2013.Dull cyffredinol a syml ar gyfer cael R2 o fodelau effeithiau cymysg llinol cyffredinol. Dulliau mewn Ecoleg ac Esblygiad 4 (2), 133-142.https://doi.org/10.1111/j.2041-210x.2012.00261.x.
O'Neill, A., Wilson, R., Blest-Hopley, G., Annibale, L, Colizzi, M., Brammer, M, Bhattacharyya. S.2021, Gall normaleiddio gweithgaredd canolig-amserol a rhagflaenol, a chysylltedd canol-amser-striatal, fod yn sail i effeithiau gwrthseicotig cannabidiol mewn seicosis. Psychol.Med.51(4), 596-606.htps://doLorg/10.1017/S0033291719003519.
Osborne, AL, Solowii, N., Babic, I. Huang, XF., Weston-Green, K,2017a.Gwell rhyngweithio cymdeithasol, cydnabyddiaeth, a gweithiocofgyda thriniaeth cannabidiol mewn model llygod mawr haint cyn-geni (poly I: C). Neuropsychopharmacology 42(7), 1447-1457.https://dol.org/10.1038/npp.2017.40.
Osborne, AL., Solowii, N., Weston-Green, K., 2017b.Adolygiad systematig o effaith cannabidiol ar swyddogaeth wybyddol: perthnasedd i sgitsoffrenia.Neurosci. Biobihav. Parch.72,310-324.https://doi.org/10.1016/j.neubiorev.2016.11.012.
Owen. AC, McMillan, KM, Laird. AR, Bullmore, E.,2005.N-cof gweithio yn ôl
paradeim: meta-ddadansoddiad o astudiaethau niwroddelweddu swyddogaethol normadol. Hum. Brain Mapp.25(1), 46-59.https://dol.org/10.1002/hbm.20131.Pertwee, RG,2008.Farmacoleg derbynnydd CB1 a CB2 amrywiol o dri phlanhigyn
cannabinoidau: delta9-tetrahydrocannabinol, cannabidiol, a delta9-tetrahydrocannabivarin. Br. J. Pharmacol.153 (2),199-215.https://dol.org/10.1038/sibip.0707442.
Ranganathan, M, D'Souza, DC2006. Effeithiau acíwt cannabinoids arcofmewn bodau dynol: adolygiad.Seicopharmacology(Berl)188(4),425-444.https://dol.org/10.1007/s00213-006-0508-y.Rong, C.,Lee,Y,Carmona, NE, Cha, DS, Raggett, RM, Rosenblat, JD, McIntyre, R.
S., 2017.Cannabidiol mewn marijuana meddygol: golygfeydd ymchwil a chyfleoedd posibl. Ffarmacol. Res.121,213-218. https://dol.org/10.1016/ . phrs2017.05.005.Schoedel,KA, Szeto,L,Setnik, B.,Sellers, EM, Levy-Cooperman,N., Mills,C.
Sommerville, K,2018. Asesiad potensial cam-drin o ganabidiol (CBD) mewn defnyddwyr amlgyffuriau hamdden: hap-brawf, dwbl-ddall, dan reolaeth. Epilepsy Behav.88,162-171.https:/doi.org/10.1016/i.yebeh.2018.07.027.
Schoeler, T., Bhattacharya, S., 2013. Effaith defnyddio canabis ar swyddogaeth cof: diweddariad. Adsefydlu Cam-drin Eilaidd.4,11-27.https://doi.org/10.2147/SAR.S25869. Schoeler, T.Kambeitz, J., Behlke, L, Murray, R, Bhattacharyya, S., 2016. Effeithiau canabis ar swyddogaeth cof mewn defnyddwyr ag anhwylder seicotig a hebddo: canfyddiadau o feta-ddadansoddiad cyfun. Psychol.Med.46(1),177-188.https//dol org/10.1017/S0033291715001646.
Schreiner.AM,Dunn, ME.,2012.Effeithiau gweddilliol defnyddio canabis ar niwrowybyddol
perfformiad ar ôl ymataliad hirfaith: meta-ddadansoddiad. Exp. Clin. Seicoffarmacol 20(5), 420-429.https://dol.org/10.1037/a0029117.
Solow,N.,Battisti,R.,2008. Effeithiau cronig canabis arcofmewn bodau dynol: adolygiad. Qirr. Cam-drin Cyffuriau Rev.1(1), 81-98.https://dol.org/10.2174/1874473710801010081.
Solowij, N., Broyd, SJ, Beale, C, Prick, JA, Greenwood, LM, van Hell, H, Yucel, M., 2018. Effeithiau therapiwtig triniaeth cannabidiol hir ar symptomau seicolegol a swyddogaeth wybyddol mewn defnyddwyr canabis rheolaidd: treial clinigol label agored pragmatig Cannabis Cannabinoid Res 3 (1),21-34.hps:/dolLorg/10089/can.2017.0043.
Svanborg, P., Asberg, M., 2001. Cymhariaeth rhwng rhestr o iselder Beck (IAPS): Graddfeydd Affeithiol o Luniau a Llawlyfr Cyfarwyddiadau. Prifysgol Florida, Gainesville, FL.
(BDI)a'r fersiwn hunan-sgorio o raddfa graddio iselder Montgomery Asberg (MADRS).J.Affect.Disord.64(2-3),203-216. Adalwyd o. https://www.ncbi. nlm.nih.gov/pubmed/11313087.
Lang,PJBradley,MM, Cuthbert,BN,2008.System Llun Affeithiol Rhyngwladol Swyddfa'r Cenhedloedd Unedig ar Gyffuriau a Throseddu,2019.Cyhoeddiadau'r Cenhedloedd Unedig, Efrog Newydd.
Leiner, DJ, 2014. Arolwg SoSci [Meddalwedd cyfrifiadurol]. Ar gael yn, Fersiwn 2.5.00-i https://www.socisurvey.de.

